🇳🇴 🇬🇧 🇩🇪 🇨🇿 🇫🇮

Meteor, poloha: Skagen 2024-05-02 23:15:04 UTC

Soubor KML  |  InteraktivnĂ­ mapa

Mapa zobrazuje dráhy meteoru. Světlejší čáry ukazují směry od pozorovacích stanic při objevení se meteoru a tmavší čáry, kde byl naposledy viděn. Modrá šipka značí viditelnou dráhu meteoru.

static map
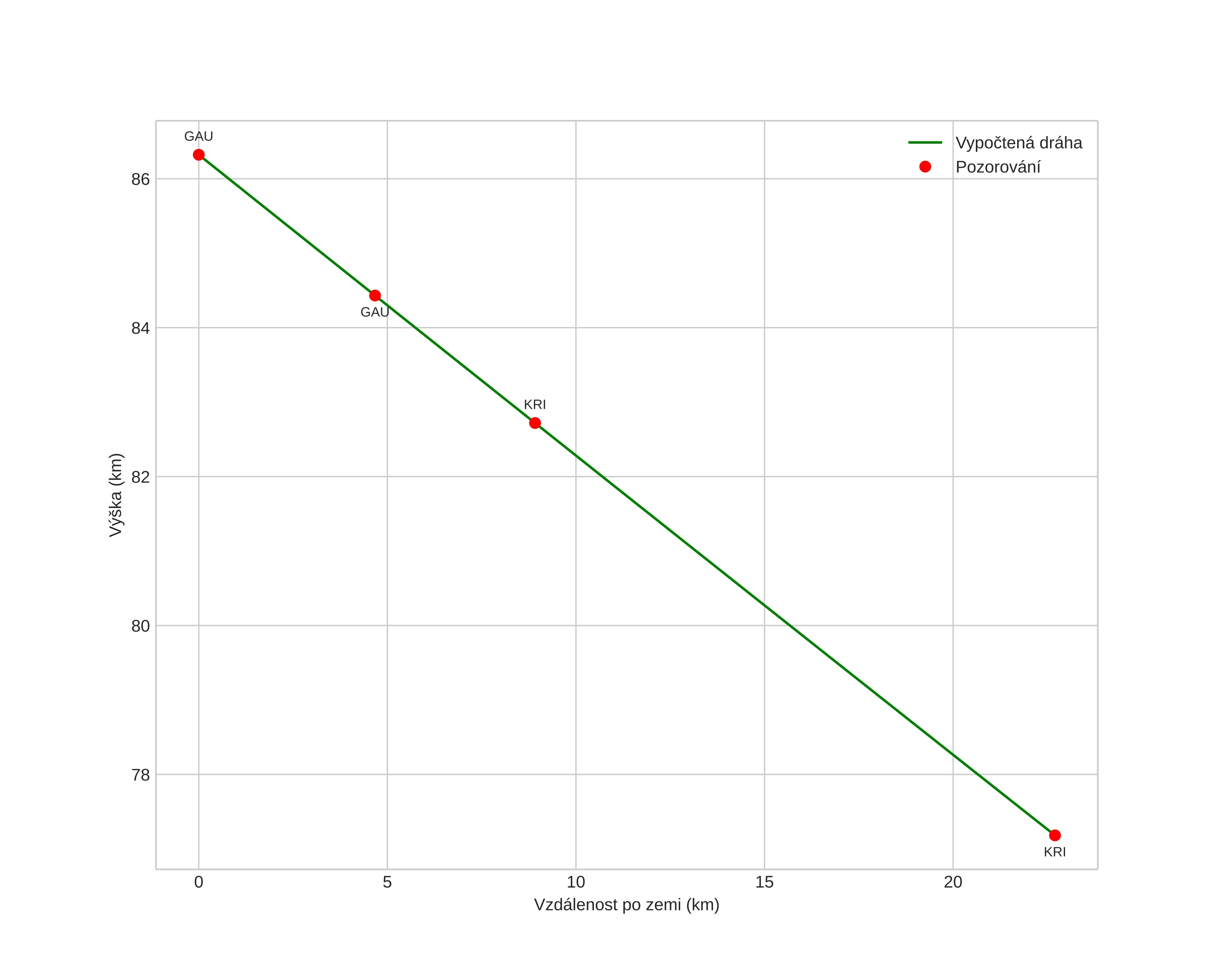
height profile
Atmosférická dráha meteoru:
Počáteční výška: 86,3 km
Konečná výška: 79,0 km
Počáteční poloha: 58,033N 10,151E
Konečná poloha: 58,217N 10,287E
Směr: 21,2°
Sklon: 18,4°
VstupnĂ­ rychlost: 24,1 km/s
Rektascenze radiantu: 13:11 (197,8°)
Deklinace radiantu: -16,2°
MeteorickĂ˝ roj: sporadickĂ˝
Elementy dráhy meteoroidu:
Vzdálenost v periheliu: 0,787 AU
Excentricita: 0,991
Sklon dráhy: 4,6°
Délka vzestupného uzlu: 222,7°
Argument perihelia: 56,1°
Střední anomálie: 360,0°
Epocha: 2024 MAY 02 23:15:04
orbit plot

NeinteraktivnĂ­ graf | InteraktivnĂ­ graf

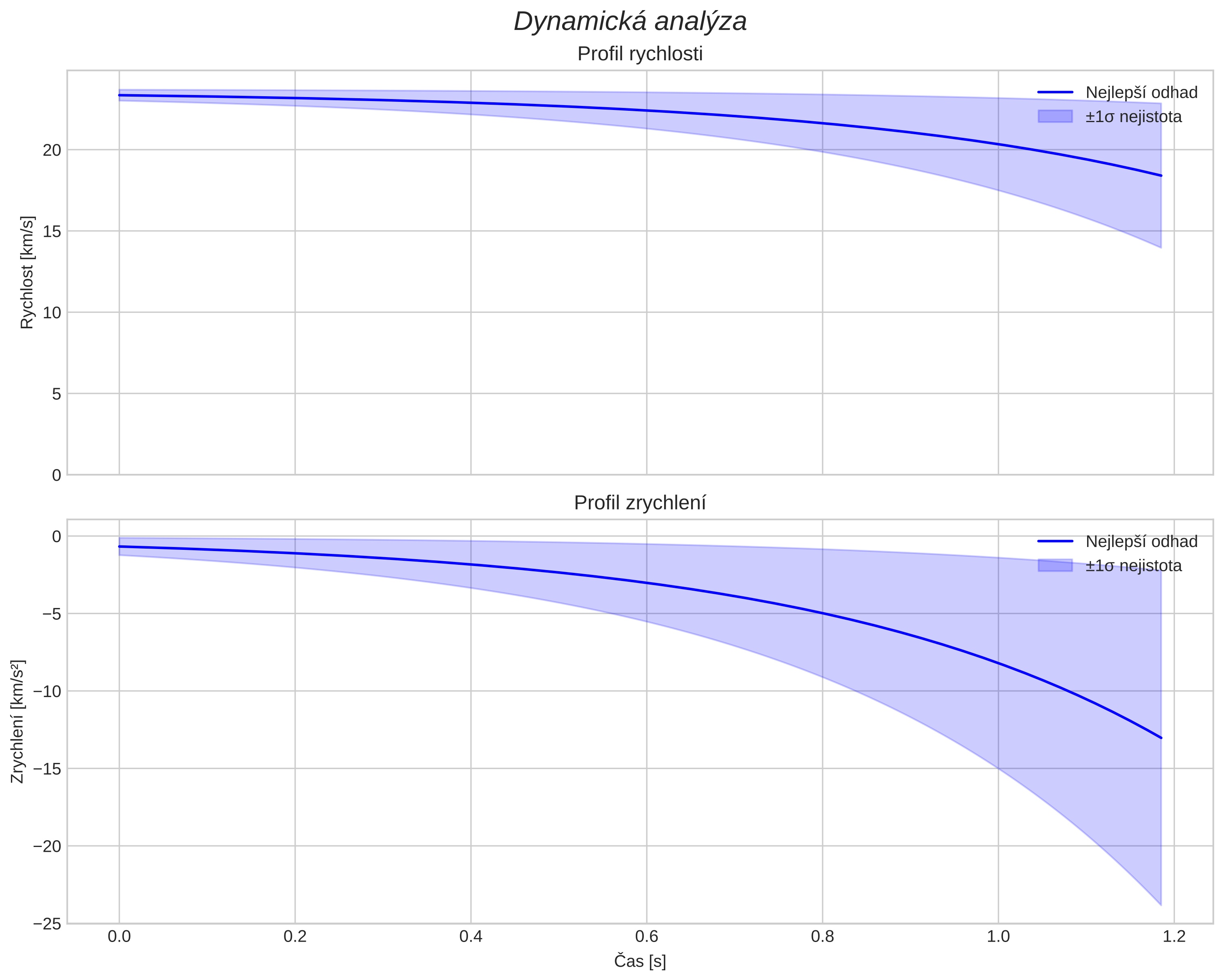
position vs time
speed and acceleration