🇳🇴 🇬🇧 🇩🇪 🇨🇿 🇫🇮

Meteor Skagenin yllä 2024-05-02 23:15:04 UTC

KML-tiedosto  |  Interaktiivinen kartta

Kartta näyttää meteorin suuntahavainnot. Vaaleammat viivat näyttävät suunnat havaintoasemilta meteorin ilmestyessä, ja tummemmat viivat näyttävät, missä se viimeksi nähtiin. Sininen nuoli näyttää meteorin näkyvän lennon.

static map
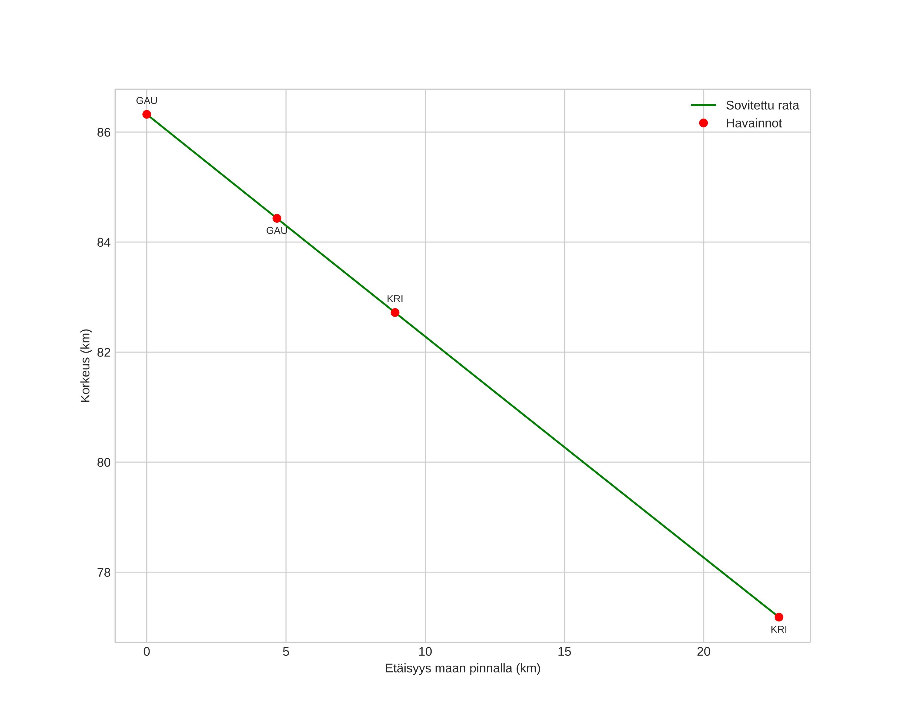
height profile
Meteorin ilmakehärata:
Alkukorkeus: 86,3 km
Loppukorkeus: 79,0 km
Alkupiste: 58,033N 10,151E
Loppupiste: 58,217N 10,287E
Suunta: 21,2°
Kallistuskulma: 18,4°
Tulonopeus: 24,1 km/s
Radiantin R,A,: 13:11 (197,8°)
Radiantin Dekl,: -16,2°
Meteoriparvi: Sporadinen
Meteoroidin rataelementit:
Perihelietäisyys: 0,787 AU
Eksentrisyys: 0,991
Inklinaatio: 4,6°
Nousevan solmun pituus: 222,7°
Perihelin argumentti: 56,1°
Keskianomalia: 360,0°
Epookki: 2024 MAY 02 23:15:04
orbit plot

Ei-interaktiivinen kuvaaja | Interaktiivinen kuvaaja

position vs time
speed and acceleration