🇳🇴 🇬🇧 🇩🇪 🇨🇿 🇫🇮

Meteor, poloha: Ă–dsmĂĄl 2024-05-10 00:49:12 UTC

Soubor KML  |  InteraktivnĂ­ mapa

Mapa zobrazuje dráhy meteoru. Světlejší čáry ukazují směry od pozorovacích stanic při objevení se meteoru a tmavší čáry, kde byl naposledy viděn. Modrá šipka značí viditelnou dráhu meteoru.

static map
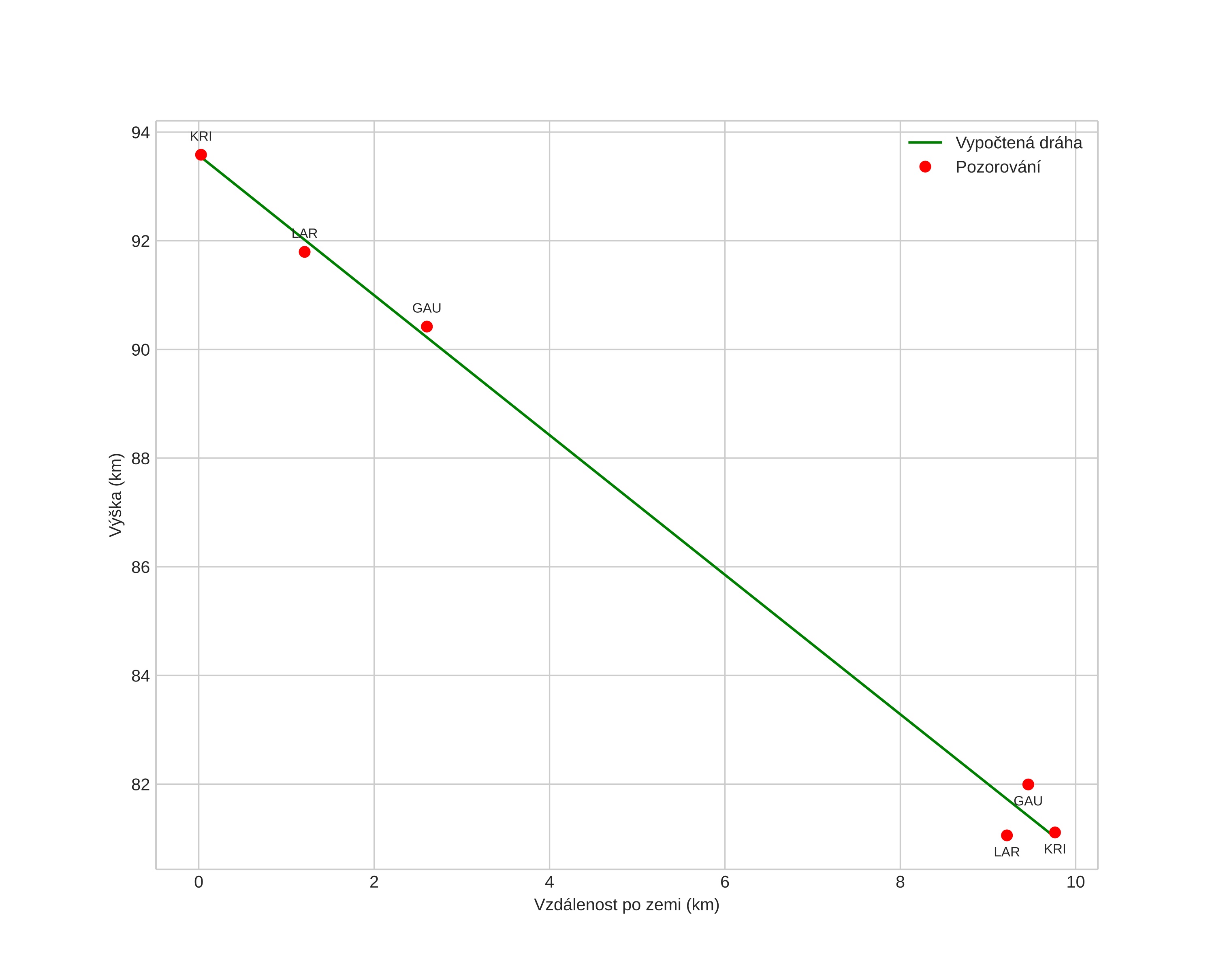
height profile
Atmosférická dráha meteoru:
Počáteční výška: 93,4 km
Konečná výška: 79,8 km
Počáteční poloha: 58,047N 11,699E
Konečná poloha: 58,102N 11,843E
Směr: 53,8°
Sklon: 52,5°
VstupnĂ­ rychlost: 24,5 km/s
Rektascenze radiantu: 14:24 (216,1°)
Deklinace radiantu: 26,7°
MeteorickĂ˝ roj: sporadickĂ˝
Elementy dráhy meteoroidu:
Vzdálenost v periheliu: 0,886 AU
Excentricita: 1,042
Sklon dráhy: 20,2°
Délka vzestupného uzlu: 49,5°
Argument perihelia: 220,6°
Střední anomálie: -0,3°
Epocha: 2024 MAY 10 00:49:12
orbit plot

NeinteraktivnĂ­ graf | InteraktivnĂ­ graf

position vs time
speed and acceleration