🇳🇴 🇬🇧 🇩🇪 🇨🇿 🇫🇮

Meteor Ödsmålin yllä 2024-05-10 00:49:12 UTC

KML-tiedosto  |  Interaktiivinen kartta

Kartta näyttää meteorin suuntahavainnot. Vaaleammat viivat näyttävät suunnat havaintoasemilta meteorin ilmestyessä, ja tummemmat viivat näyttävät, missä se viimeksi nähtiin. Sininen nuoli näyttää meteorin näkyvän lennon.

static map
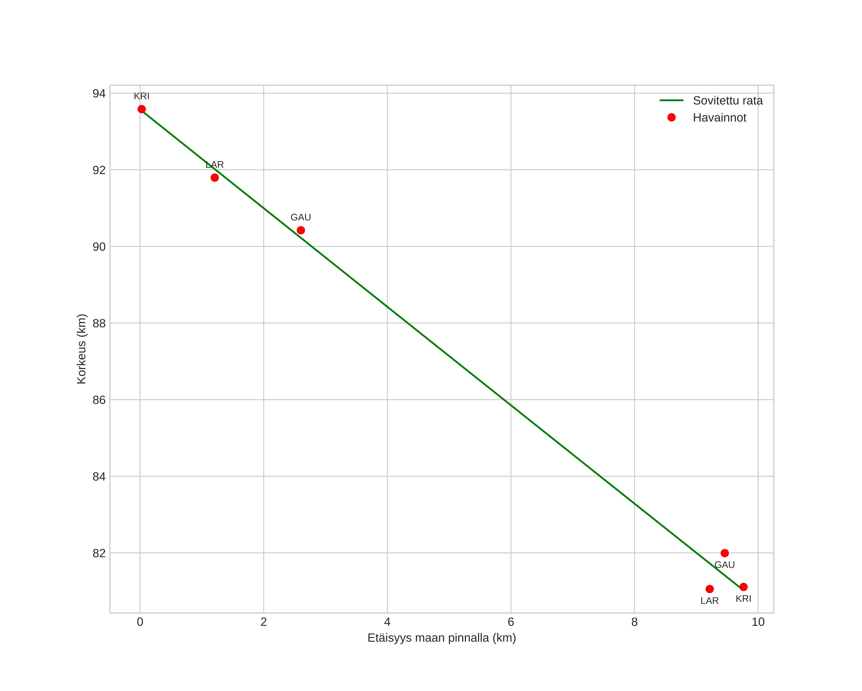
height profile
Meteorin ilmakehärata:
Alkukorkeus: 93,4 km
Loppukorkeus: 79,8 km
Alkupiste: 58,047N 11,699E
Loppupiste: 58,102N 11,843E
Suunta: 53,8°
Kallistuskulma: 52,5°
Tulonopeus: 24,5 km/s
Radiantin R,A,: 14:24 (216,1°)
Radiantin Dekl,: 26,7°
Meteoriparvi: Sporadinen
Meteoroidin rataelementit:
Perihelietäisyys: 0,886 AU
Eksentrisyys: 1,042
Inklinaatio: 20,2°
Nousevan solmun pituus: 49,5°
Perihelin argumentti: 220,6°
Keskianomalia: -0,3°
Epookki: 2024 MAY 10 00:49:12
orbit plot

Ei-interaktiivinen kuvaaja | Interaktiivinen kuvaaja

position vs time
speed and acceleration