🇳🇴 🇬🇧 🇩🇪 🇨🇿 🇫🇮

Meteor, poloha: Larvik 2024-05-13 22:48:05 UTC

Soubor KML  |  InteraktivnĂ­ mapa

Mapa zobrazuje dráhy meteoru. Světlejší čáry ukazují směry od pozorovacích stanic při objevení se meteoru a tmavší čáry, kde byl naposledy viděn. Modrá šipka značí viditelnou dráhu meteoru.

static map
height profile
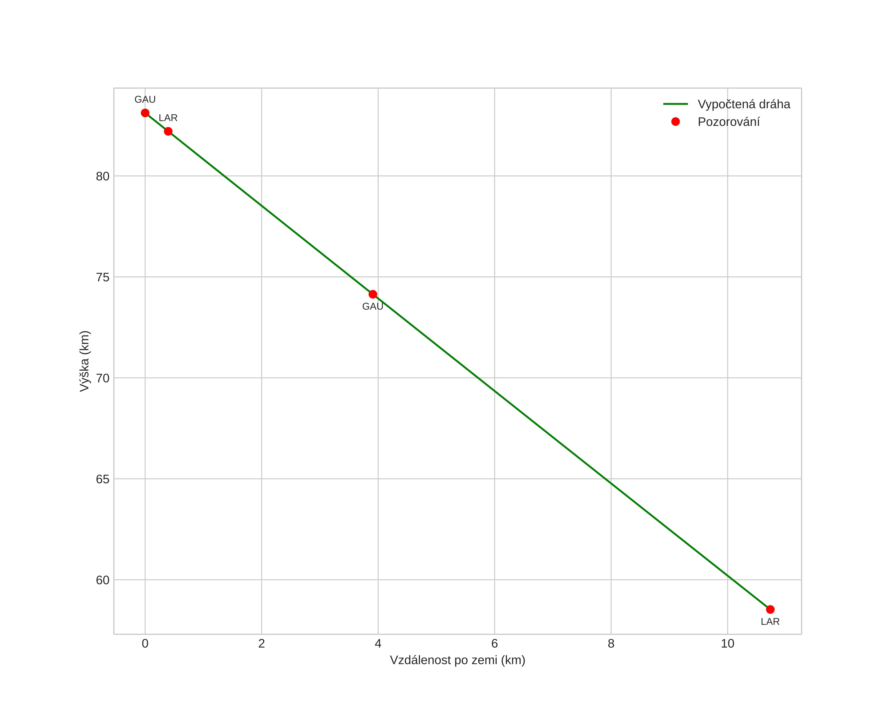
Atmosférická dráha meteoru:
Počáteční výška: 83,2 km
Konečná výška: 58,2 km
Počáteční poloha: 59,130N 9,888E
Konečná poloha: 59,192N 10,027E
Směr: 49,1°
Sklon: 67,2°
VstupnĂ­ rychlost: 15,5 km/s
Rektascenze radiantu: 13:07 (197,0°)
Deklinace radiantu: 37,6°
MeteorickĂ˝ roj: sporadickĂ˝
Elementy dráhy meteoroidu:
Vzdálenost v periheliu: 0,992 AU
Excentricita: 0,591
Sklon dráhy: 11,1°
Délka vzestupného uzlu: 53,3°
Argument perihelia: 198,0°
Střední anomálie: 356,2°
Epocha: 2024 MAY 13 22:48:05
orbit plot

NeinteraktivnĂ­ graf | InteraktivnĂ­ graf

position vs time
speed and acceleration