🇳🇴 🇬🇧 🇩🇪 🇨🇿 🇫🇮

Meteor Larvikin yllä 2024-05-13 22:48:05 UTC

KML-tiedosto  |  Interaktiivinen kartta

Kartta näyttää meteorin suuntahavainnot. Vaaleammat viivat näyttävät suunnat havaintoasemilta meteorin ilmestyessä, ja tummemmat viivat näyttävät, missä se viimeksi nähtiin. Sininen nuoli näyttää meteorin näkyvän lennon.

static map
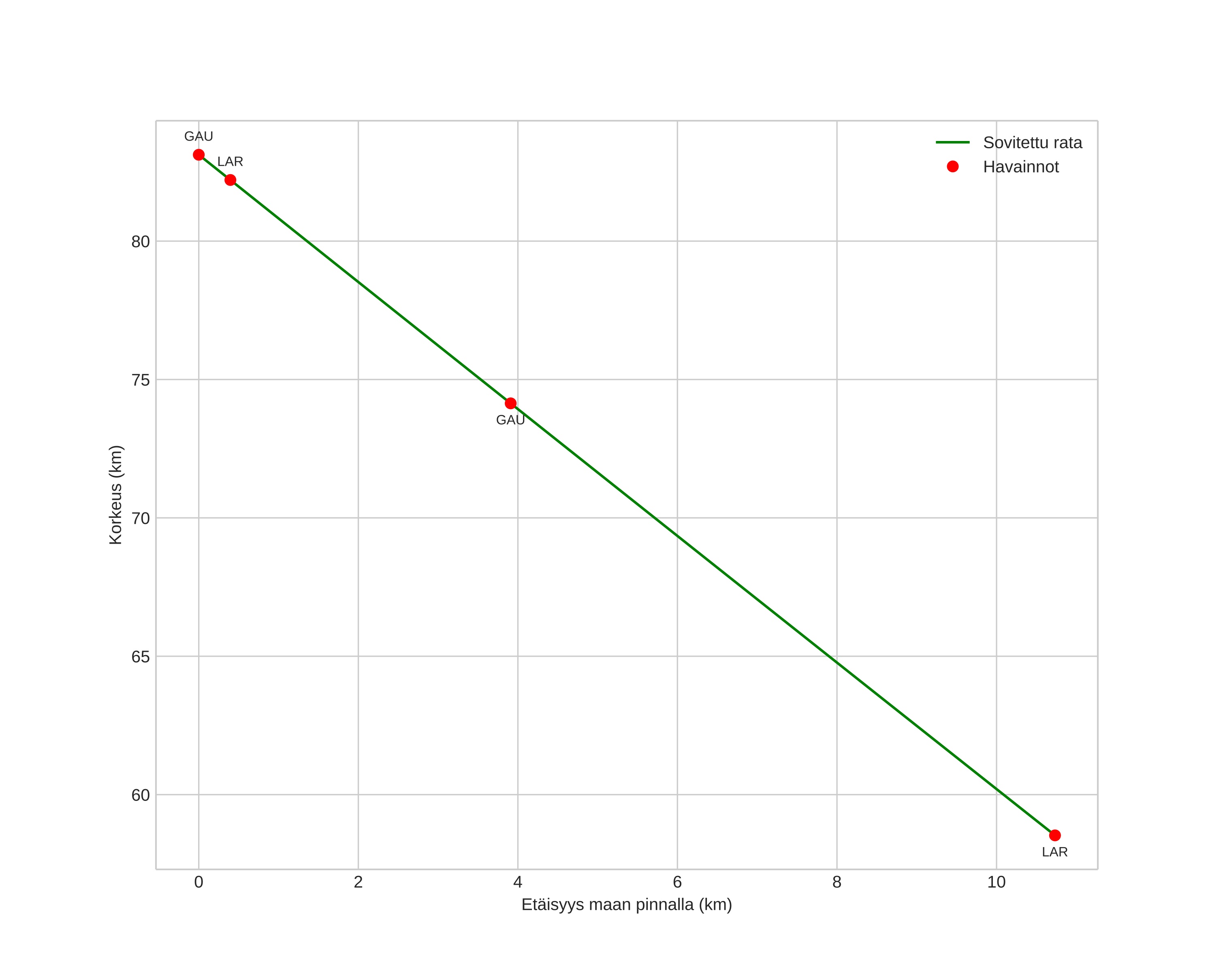
height profile
Meteorin ilmakehärata:
Alkukorkeus: 83,2 km
Loppukorkeus: 58,2 km
Alkupiste: 59,130N 9,888E
Loppupiste: 59,192N 10,027E
Suunta: 49,1°
Kallistuskulma: 67,2°
Tulonopeus: 15,5 km/s
Radiantin R,A,: 13:07 (197,0°)
Radiantin Dekl,: 37,6°
Meteoriparvi: Sporadinen
Meteoroidin rataelementit:
Perihelietäisyys: 0,992 AU
Eksentrisyys: 0,591
Inklinaatio: 11,1°
Nousevan solmun pituus: 53,3°
Perihelin argumentti: 198,0°
Keskianomalia: 356,2°
Epookki: 2024 MAY 13 22:48:05
orbit plot

Ei-interaktiivinen kuvaaja | Interaktiivinen kuvaaja

position vs time
speed and acceleration