🇳🇴 🇬🇧 🇩🇪 🇨🇿 🇫🇮

Meteor, poloha: Løten 2024-05-13 23:45:38 UTC

Soubor KML  |  InteraktivnĂ­ mapa

Mapa zobrazuje dráhy meteoru. Světlejší čáry ukazují směry od pozorovacích stanic při objevení se meteoru a tmavší čáry, kde byl naposledy viděn. Modrá šipka značí viditelnou dráhu meteoru.

static map
height profile
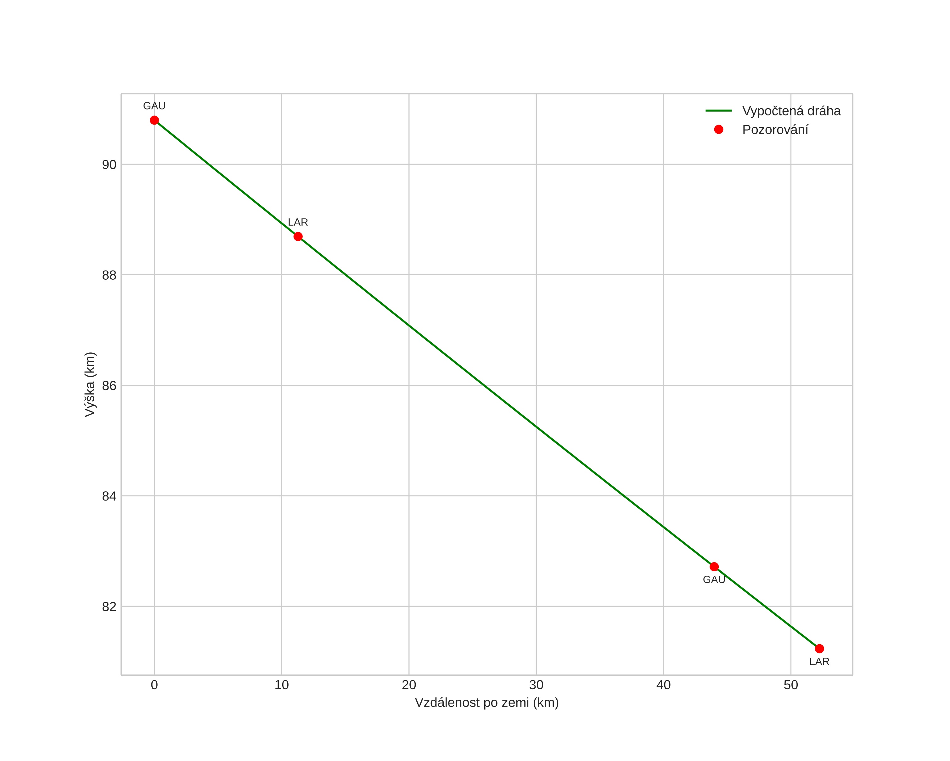
Atmosférická dráha meteoru:
Počáteční výška: 89,6 km
Konečná výška: 81,3 km
Počáteční poloha: 60,374N 11,584E
Konečná poloha: 60,747N 11,386E
Směr: 345,4°
Sklon: 11,0°
VstupnĂ­ rychlost: 42,3 km/s
Rektascenze radiantu: 16:58 (254,7°)
Deklinace radiantu: -19,4°
MeteorickĂ˝ roj: sporadickĂ˝
Elementy dráhy meteoroidu:
Vzdálenost v periheliu: 0,119 AU
Excentricita: 0,978
Sklon dráhy: 9,4°
Délka vzestupného uzlu: 53,4°
Argument perihelia: 321,6°
Střední anomálie: 357,4°
Epocha: 2024 MAY 13 23:45:38
orbit plot

NeinteraktivnĂ­ graf | InteraktivnĂ­ graf

position vs time
speed and acceleration