🇳🇴 🇬🇧 🇩🇪 🇨🇿 🇫🇮

Meteor Løtenin yllä 2024-05-13 23:45:38 UTC

KML-tiedosto  |  Interaktiivinen kartta

Kartta näyttää meteorin suuntahavainnot. Vaaleammat viivat näyttävät suunnat havaintoasemilta meteorin ilmestyessä, ja tummemmat viivat näyttävät, missä se viimeksi nähtiin. Sininen nuoli näyttää meteorin näkyvän lennon.

static map
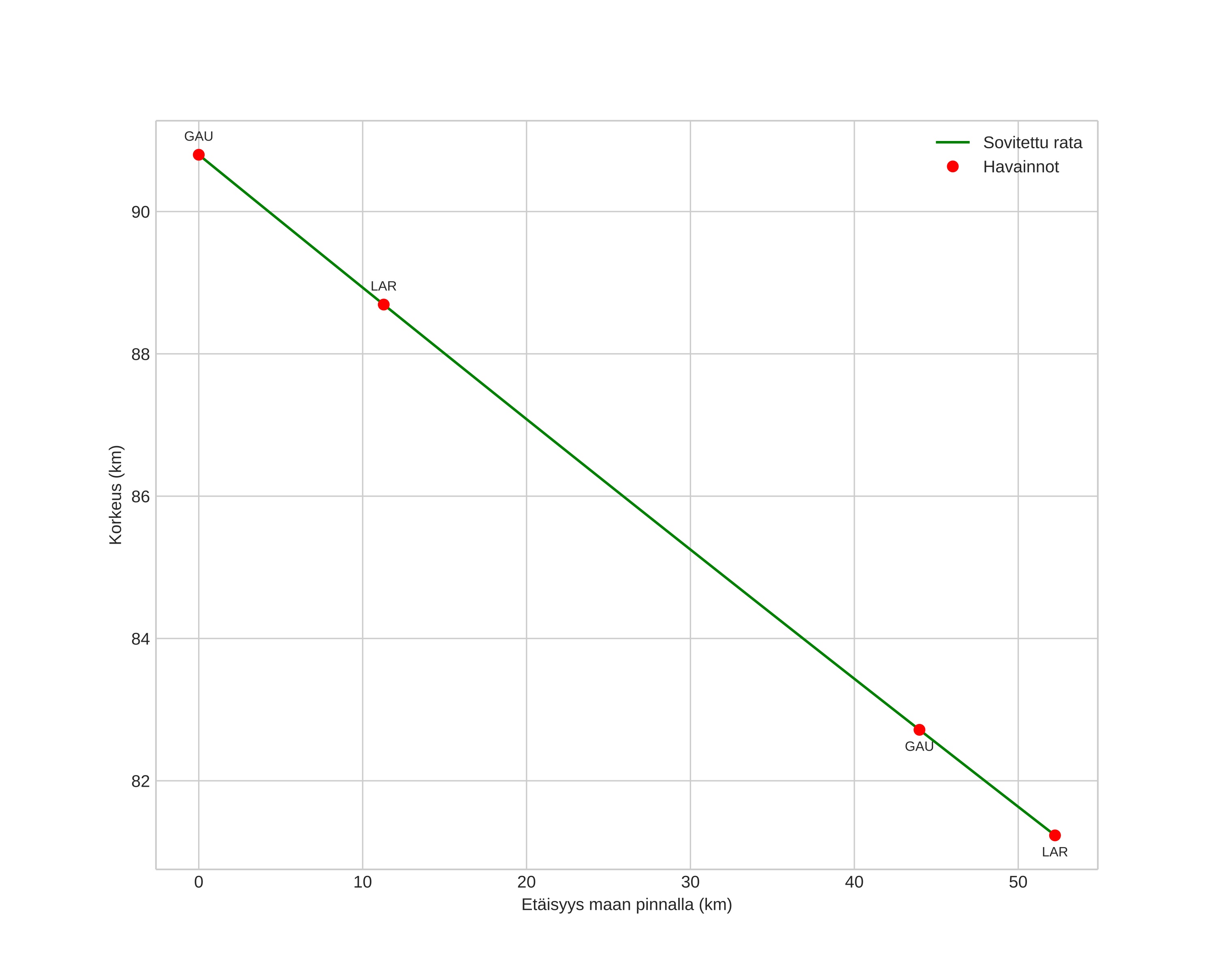
height profile
Meteorin ilmakehärata:
Alkukorkeus: 89,6 km
Loppukorkeus: 81,3 km
Alkupiste: 60,374N 11,584E
Loppupiste: 60,747N 11,386E
Suunta: 345,4°
Kallistuskulma: 11,0°
Tulonopeus: 42,3 km/s
Radiantin R,A,: 16:58 (254,7°)
Radiantin Dekl,: -19,4°
Meteoriparvi: Sporadinen
Meteoroidin rataelementit:
Perihelietäisyys: 0,119 AU
Eksentrisyys: 0,978
Inklinaatio: 9,4°
Nousevan solmun pituus: 53,4°
Perihelin argumentti: 321,6°
Keskianomalia: 357,4°
Epookki: 2024 MAY 13 23:45:38
orbit plot

Ei-interaktiivinen kuvaaja | Interaktiivinen kuvaaja

position vs time
speed and acceleration