🇳🇴 🇬🇧 🇩🇪 🇨🇿 🇫🇮

Meteor, poloha: Prestestranda 2024-07-31 22:37:16 UTC

Larvik – 1
Larvik – 1
Larvik – 4
Larvik – 4
Voksenlia – 1
Voksenlia – 1

Soubor KML  | Interaktivní mapa

map

Mapa zobrazuje dráhy meteoru. Světlejší čáry ukazují směry od pozorovacích stanic při objevení se meteoru a tmavší čáry, kde byl naposledy viděn. Modrá šipka značí viditelnou dráhu meteoru.

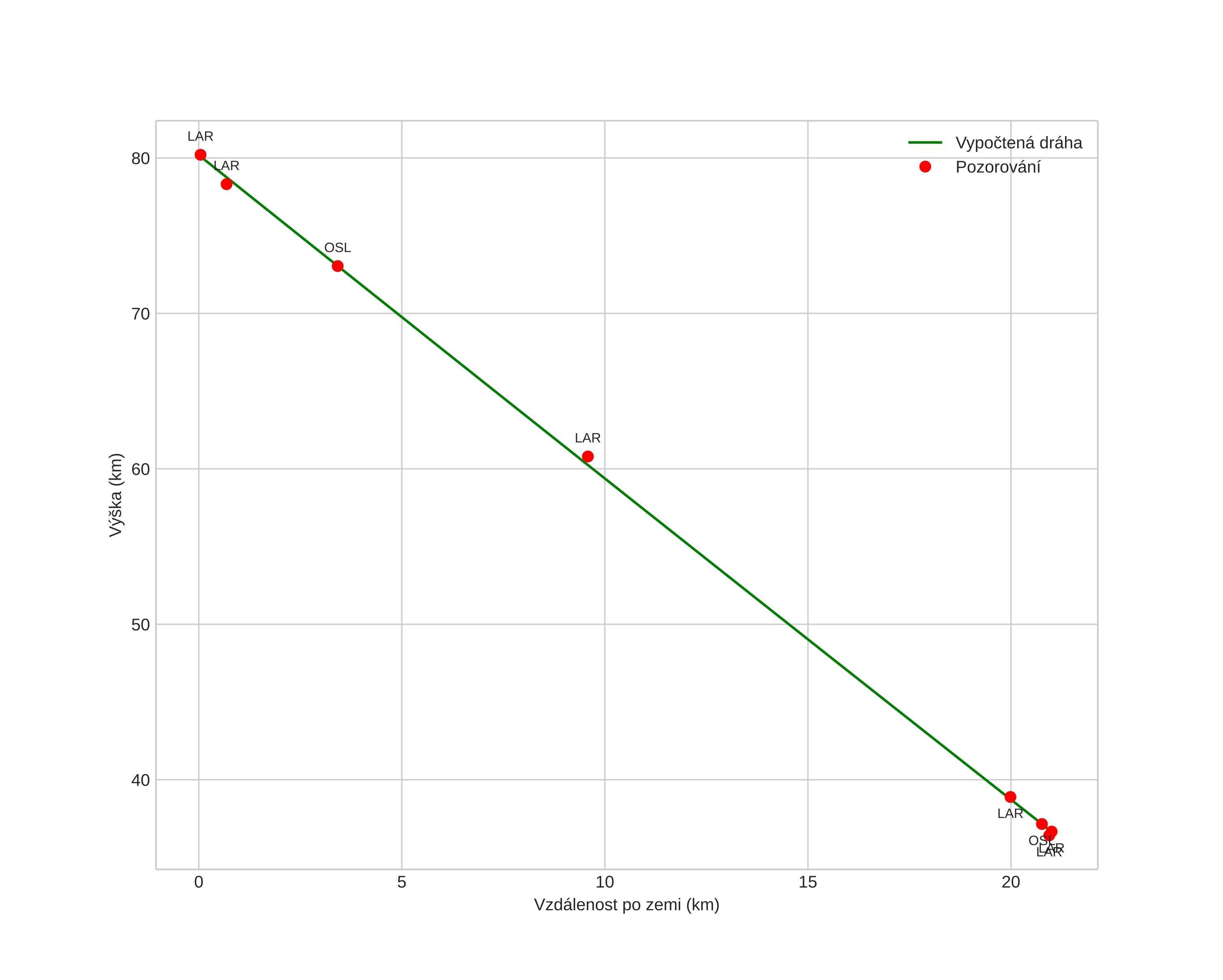
height profile
Atmosférická dráha meteoru:
Počáteční výška: 79,8 km
Konečná výška: 36,5 km
Počáteční poloha: 59,336N 9,121E
Konečná poloha: 59,151N 9,191E
Směr: 169,0°
Sklon: 64,2°
Vstupní rychlost: 14,3 km/s
Rektascenze radiantu: 13:35 (203,9°)
Deklinace radiantu: 83,2°
Meteorický roj: sporadický
Elementy dráhy meteoroidu:
Vzdálenost v periheliu: 0,912 AU
Excentricita: 0,097
Sklon dráhy: 16,5°
Délka vzestupného uzlu: 128,9°
Argument perihelia: 81,4°
Střední anomálie: 87,5°
Epocha: 2024 JUL 31 22:37:16
orbit

Neinteraktivní graf | Interaktivní graf

position vs time
speed & acceleration