🇳🇴 🇬🇧 🇩🇪 🇨🇿 🇫🇮

Meteor über Prestestranda 2024-07-31 22:37:16 UTC

Larvik – 1
Larvik – 1
Larvik – 4
Larvik – 4
Voksenlia – 1
Voksenlia – 1

KML-Datei  | Interaktive Karte

map

Die Karte zeigt die Peilungen für den Meteor. Die helleren Linien zeigen die Richtungen von den Beobachtungsorten beim Erscheinen des Meteors, und die dunkleren Linien, wo er zuletzt gesehen wurde. Der blaue Pfeil zeigt die sichtbare Bahn des Meteors.

height profile
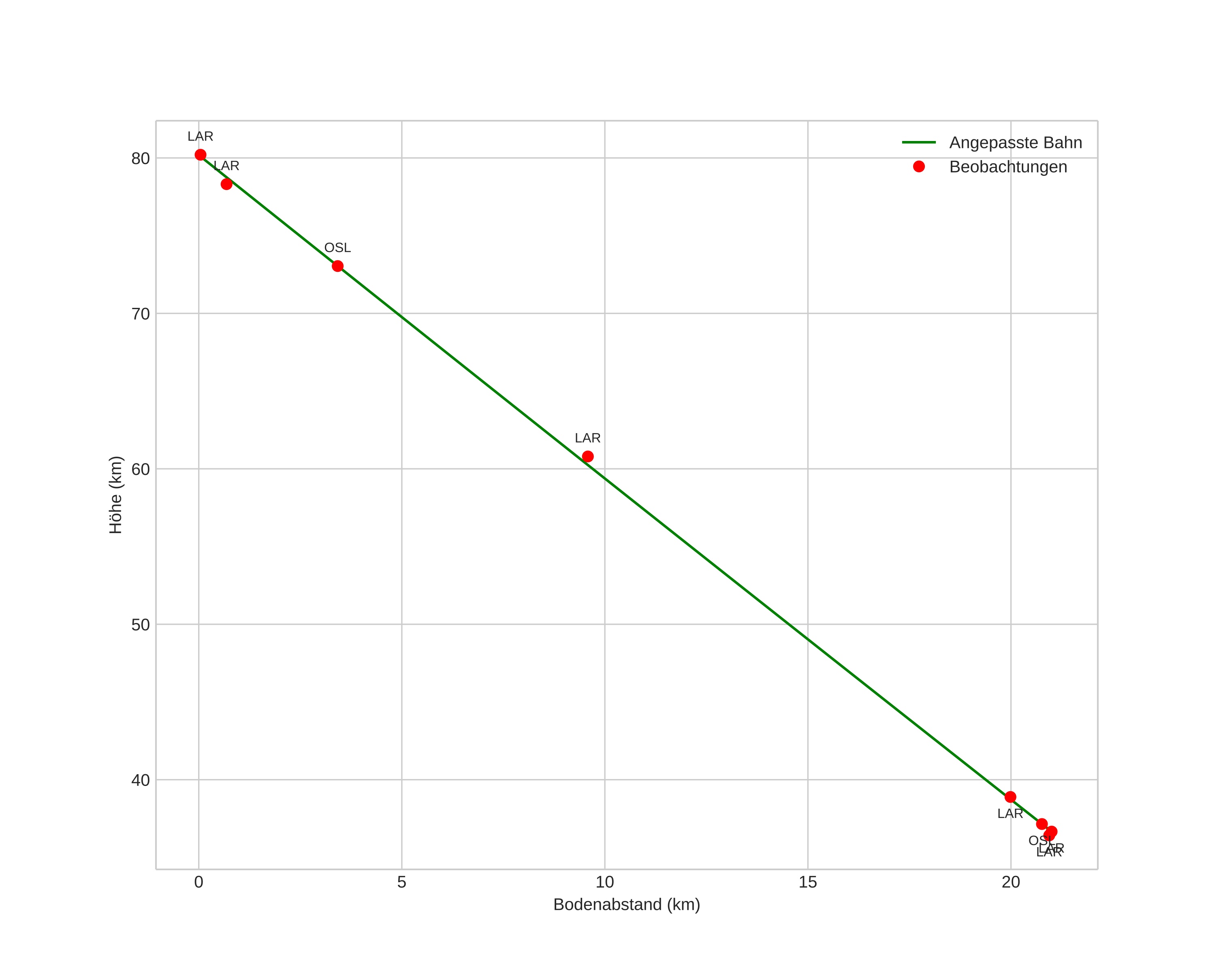
Atmosphärische Bahn des Meteors:
Anfangshöhe: 79,8 km
Endhöhe: 36,5 km
Startposition: 59,336N 9,121E
Endposition: 59,151N 9,191E
Richtung: 169,0°
Neigungswinkel: 64,2°
Eintrittsgeschwindigkeit: 14,3 km/s
Rektaszension des Radianten: 13:35 (203,9°)
Deklination des Radianten: 83,2°
Meteorstrom: sporadisch
Bahnelemente des Meteoroiden:
Periheldistanz: 0,912 AU
Exzentrizität: 0,097
Inklination: 16,5°
Länge des aufsteigenden Knotens: 128,9°
Argument des Perihels: 81,4°
Mittlere Anomalie: 87,5°
Epoche: 2024 JUL 31 22:37:16
orbit

Nicht-interaktives Diagramm | Interaktives Diagramm

position vs time
speed & acceleration