🇳🇴 🇬🇧 🇩🇪 🇨🇿 🇫🇮

Meteor, poloha: Tofte 2024-08-11 21:26:02 UTC

Soubor KML  |  InteraktivnĂ­ mapa

Mapa zobrazuje dráhy meteoru. Světlejší čáry ukazují směry od pozorovacích stanic při objevení se meteoru a tmavší čáry, kde byl naposledy viděn. Modrá šipka značí viditelnou dráhu meteoru.

static map
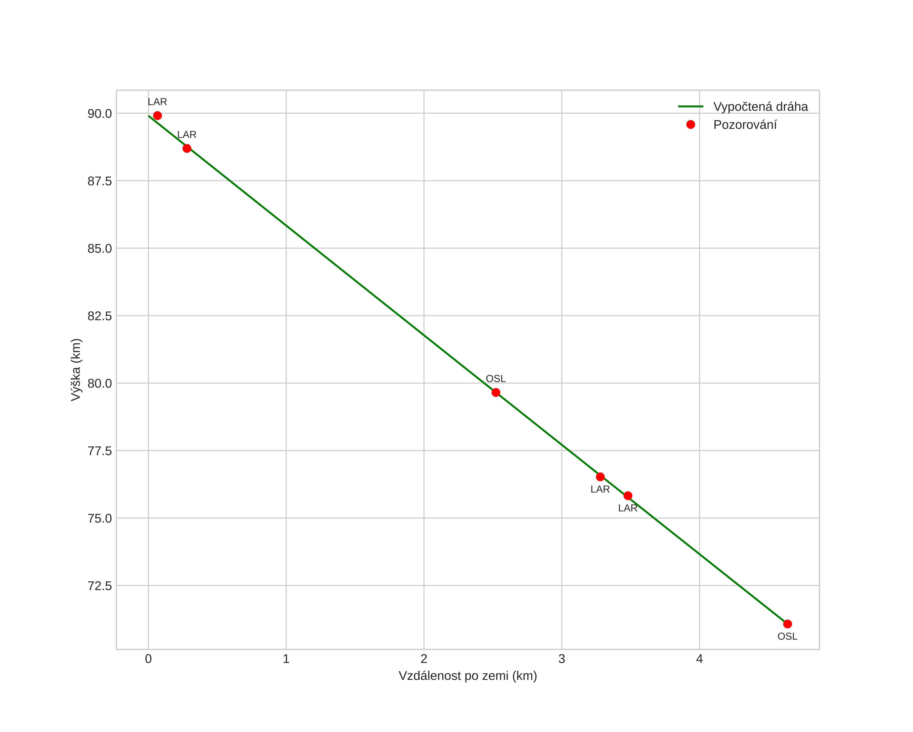
height profile
Atmosférická dráha meteoru:
Počáteční výška: 89,9 km
Konečná výška: 71,6 km
Počáteční poloha: 59,477N 10,540E
Konečná poloha: 59,515N 10,542E
Směr: 1,1°
Sklon: 77,0°
VstupnĂ­ rychlost: 26,3 km/s
Rektascenze radiantu: 19:25 (291,5°)
Deklinace radiantu: 45,6°
MeteorickĂ˝ roj: sporadickĂ˝
Elementy dráhy meteoroidu:
Vzdálenost v periheliu: 0,941 AU
Excentricita: 0,772
Sklon dráhy: 35,0°
Délka vzestupného uzlu: 139,4°
Argument perihelia: 213,4°
Střední anomálie: 357,1°
Epocha: 2024 AUG 11 21:26:02
orbit plot

NeinteraktivnĂ­ graf | InteraktivnĂ­ graf

position vs time
speed and acceleration