🇳🇴 🇬🇧 🇩🇪 🇨🇿 🇫🇮

Meteor Toften yllä 2024-08-11 21:26:02 UTC

KML-tiedosto  |  Interaktiivinen kartta

Kartta näyttää meteorin suuntahavainnot. Vaaleammat viivat näyttävät suunnat havaintoasemilta meteorin ilmestyessä, ja tummemmat viivat näyttävät, missä se viimeksi nähtiin. Sininen nuoli näyttää meteorin näkyvän lennon.

static map
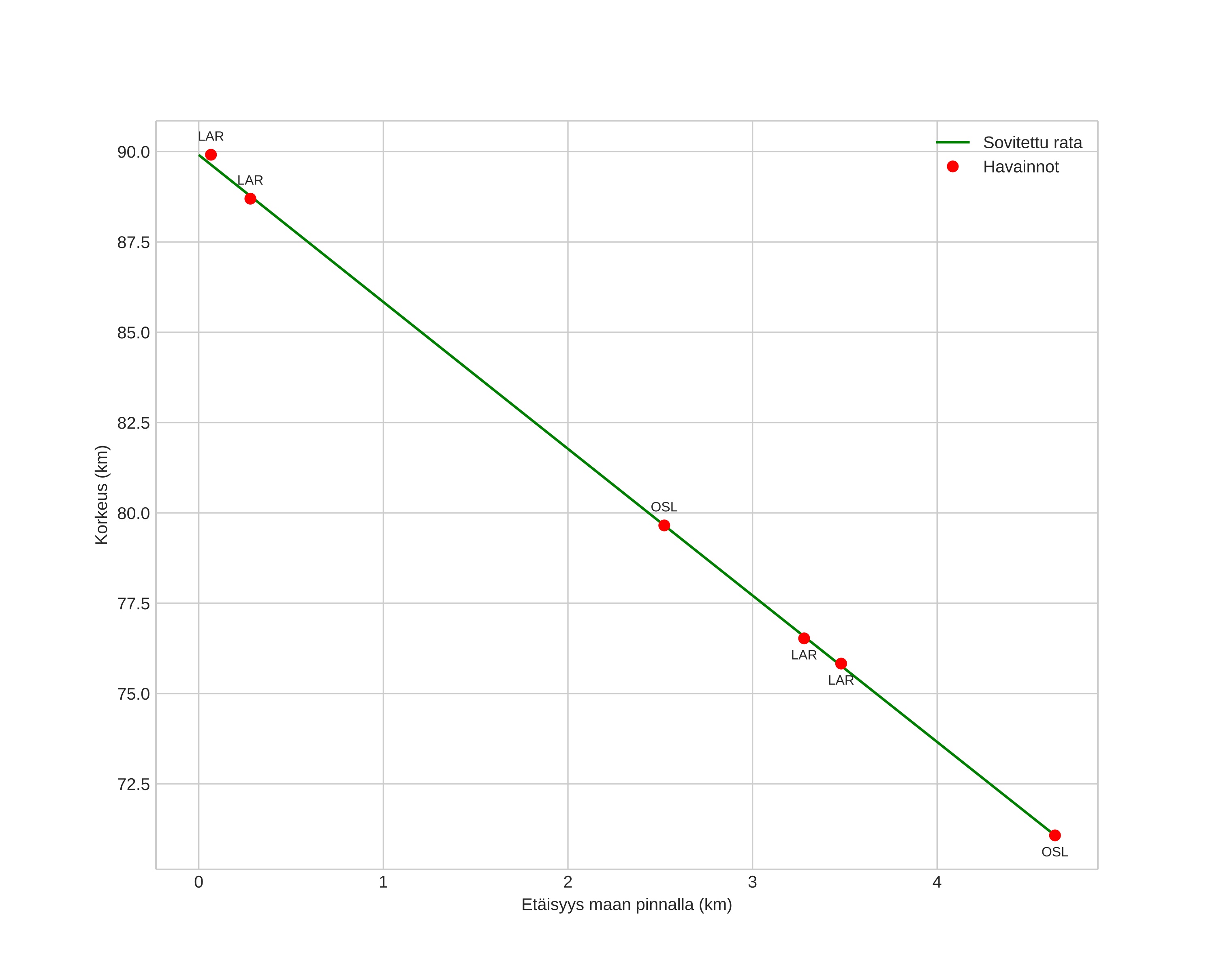
height profile
Meteorin ilmakehärata:
Alkukorkeus: 89,9 km
Loppukorkeus: 71,6 km
Alkupiste: 59,477N 10,540E
Loppupiste: 59,515N 10,542E
Suunta: 1,1°
Kallistuskulma: 77,0°
Tulonopeus: 26,3 km/s
Radiantin R,A,: 19:25 (291,5°)
Radiantin Dekl,: 45,6°
Meteoriparvi: Sporadinen
Meteoroidin rataelementit:
Perihelietäisyys: 0,941 AU
Eksentrisyys: 0,772
Inklinaatio: 35,0°
Nousevan solmun pituus: 139,4°
Perihelin argumentti: 213,4°
Keskianomalia: 357,1°
Epookki: 2024 AUG 11 21:26:02
orbit plot

Ei-interaktiivinen kuvaaja | Interaktiivinen kuvaaja

position vs time
speed and acceleration