🇳🇴 🇬🇧 🇩🇪 🇨🇿 🇫🇮

Meteor, poloha: Hamnvik 2024-09-10 22:48:27 UTC

Soubor KML  |  InteraktivnĂ­ mapa

Mapa zobrazuje dráhy meteoru. Světlejší čáry ukazují směry od pozorovacích stanic při objevení se meteoru a tmavší čáry, kde byl naposledy viděn. Modrá šipka značí viditelnou dráhu meteoru.

static map
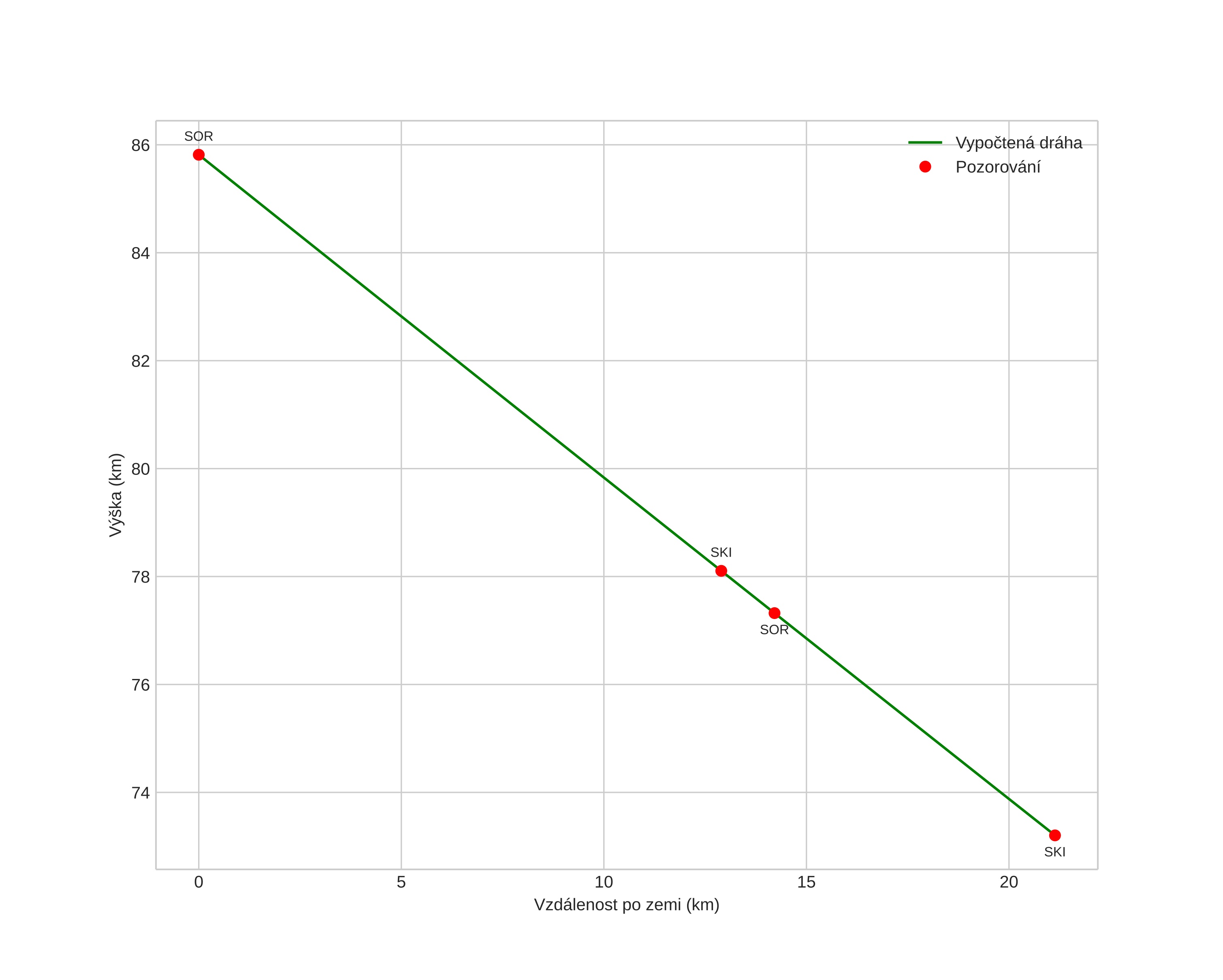
height profile
Atmosférická dráha meteoru:
Počáteční výška: 86,2 km
Konečná výška: 73,4 km
Počáteční poloha: 69,000N 17,015E
Konečná poloha: 69,184N 16,870E
Směr: 344,3°
Sklon: 31,1°
VstupnĂ­ rychlost: 34,4 km/s
Rektascenze radiantu: 00:10 (2,7°)
Deklinace radiantu: 8,9°
MeteorickĂ˝ roj: sporadickĂ˝
Elementy dráhy meteoroidu:
Vzdálenost v periheliu: 0,246 AU
Excentricita: 0,895
Sklon dráhy: 11,5°
Délka vzestupného uzlu: 168,4°
Argument perihelia: 306,9°
Střední anomálie: 349,2°
Epocha: 2024 SEP 10 22:48:27
orbit plot

NeinteraktivnĂ­ graf | InteraktivnĂ­ graf

position vs time
speed and acceleration