🇳🇴 🇬🇧 🇩🇪 🇨🇿 🇫🇮

Meteor Hamnvikin yllä 2024-09-10 22:48:27 UTC

KML-tiedosto  |  Interaktiivinen kartta

Kartta näyttää meteorin suuntahavainnot. Vaaleammat viivat näyttävät suunnat havaintoasemilta meteorin ilmestyessä, ja tummemmat viivat näyttävät, missä se viimeksi nähtiin. Sininen nuoli näyttää meteorin näkyvän lennon.

static map
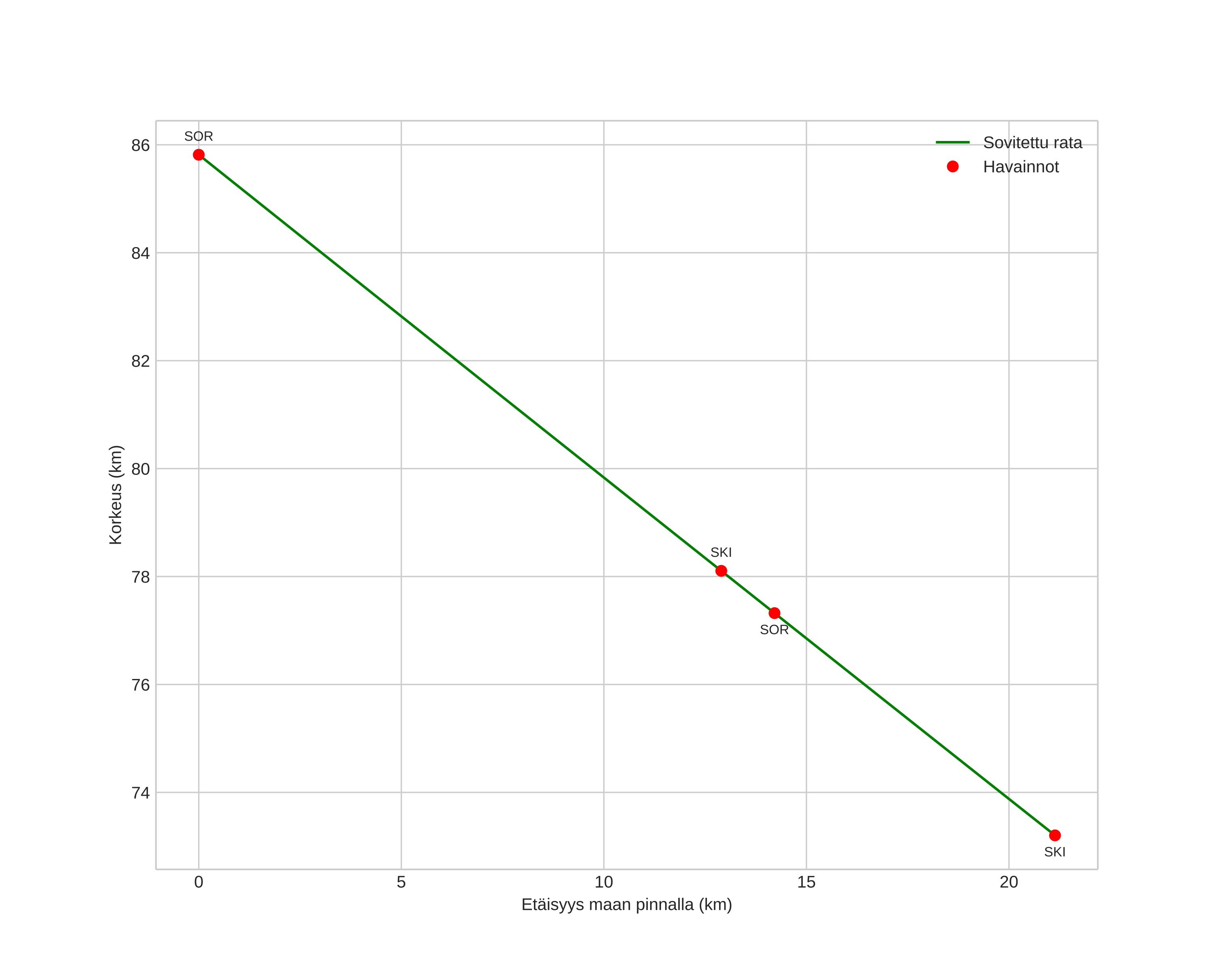
height profile
Meteorin ilmakehärata:
Alkukorkeus: 86,2 km
Loppukorkeus: 73,4 km
Alkupiste: 69,000N 17,015E
Loppupiste: 69,184N 16,870E
Suunta: 344,3°
Kallistuskulma: 31,1°
Tulonopeus: 34,4 km/s
Radiantin R,A,: 00:10 (2,7°)
Radiantin Dekl,: 8,9°
Meteoriparvi: Sporadinen
Meteoroidin rataelementit:
Perihelietäisyys: 0,246 AU
Eksentrisyys: 0,895
Inklinaatio: 11,5°
Nousevan solmun pituus: 168,4°
Perihelin argumentti: 306,9°
Keskianomalia: 349,2°
Epookki: 2024 SEP 10 22:48:27
orbit plot

Ei-interaktiivinen kuvaaja | Interaktiivinen kuvaaja

position vs time
speed and acceleration