🇳🇴 🇬🇧 🇩🇪 🇨🇿 🇫🇮

Meteor, poloha: Olderdalen 2024-09-12 22:49:03 UTC

Soubor KML  |  InteraktivnĂ­ mapa

Mapa zobrazuje dráhy meteoru. Světlejší čáry ukazují směry od pozorovacích stanic při objevení se meteoru a tmavší čáry, kde byl naposledy viděn. Modrá šipka značí viditelnou dráhu meteoru.

static map
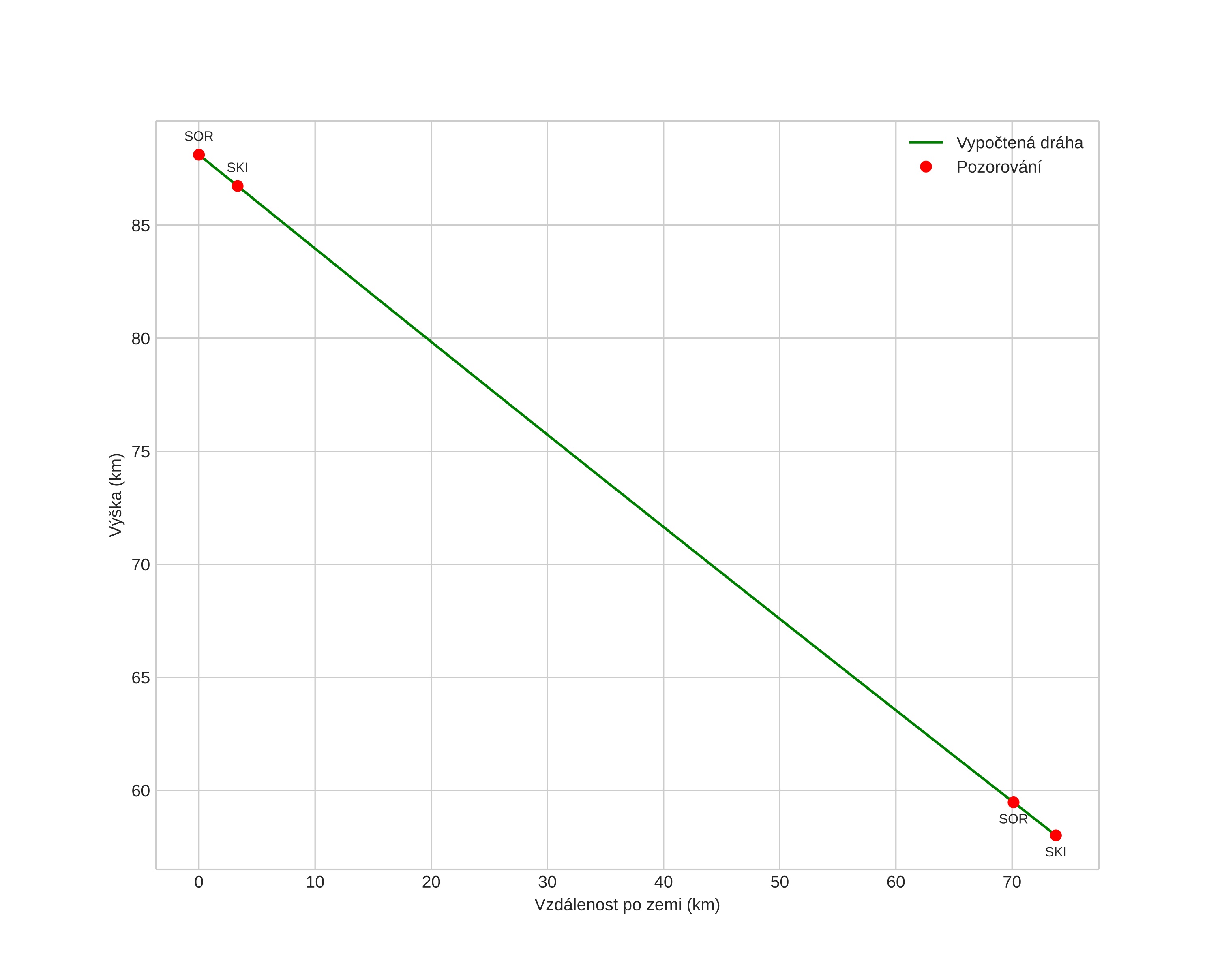
height profile
Atmosférická dráha meteoru:
Počáteční výška: 88,6 km
Konečná výška: 57,9 km
Počáteční poloha: 69,708N 19,198E
Konečná poloha: 69,222N 20,555E
Směr: 134,9°
Sklon: 22,1°
VstupnĂ­ rychlost: 18,0 km/s
Rektascenze radiantu: 14:58 (224,5°)
Deklinace radiantu: 26,7°
MeteorickĂ˝ roj: sporadickĂ˝
Elementy dráhy meteoroidu:
Vzdálenost v periheliu: 0,960 AU
Excentricita: 0,713
Sklon dráhy: 14,5°
Délka vzestupného uzlu: 170,3°
Argument perihelia: 152,7°
Střední anomálie: 3,3°
Epocha: 2024 SEP 12 22:49:03
orbit plot

NeinteraktivnĂ­ graf | InteraktivnĂ­ graf

position vs time
speed and acceleration