🇳🇴 🇬🇧 🇩🇪 🇨🇿 🇫🇮

Meteor Olderdalenin yllä 2024-09-12 22:49:03 UTC

KML-tiedosto  |  Interaktiivinen kartta

Kartta näyttää meteorin suuntahavainnot. Vaaleammat viivat näyttävät suunnat havaintoasemilta meteorin ilmestyessä, ja tummemmat viivat näyttävät, missä se viimeksi nähtiin. Sininen nuoli näyttää meteorin näkyvän lennon.

static map
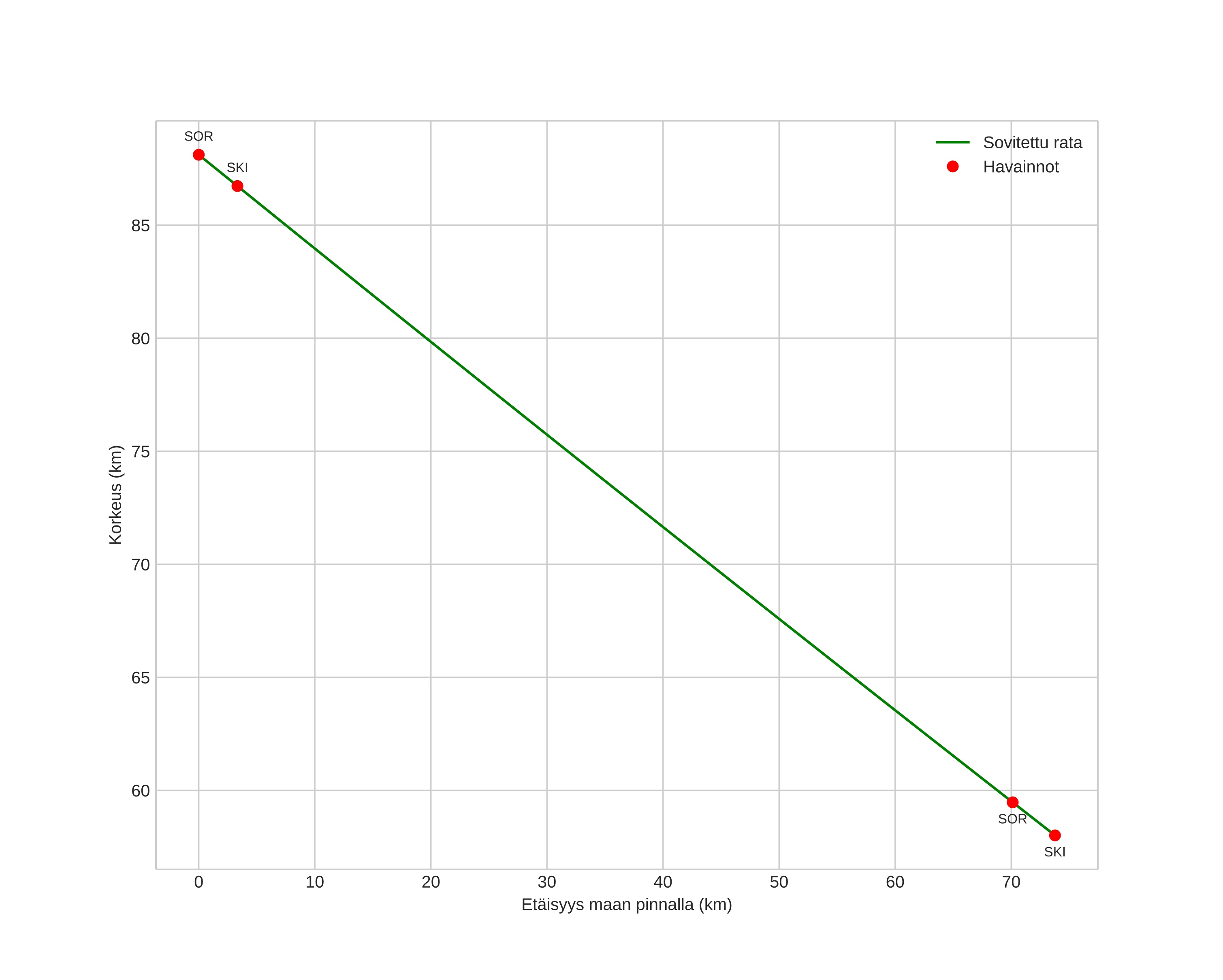
height profile
Meteorin ilmakehärata:
Alkukorkeus: 88,6 km
Loppukorkeus: 57,9 km
Alkupiste: 69,708N 19,198E
Loppupiste: 69,222N 20,555E
Suunta: 134,9°
Kallistuskulma: 22,1°
Tulonopeus: 18,0 km/s
Radiantin R,A,: 14:58 (224,5°)
Radiantin Dekl,: 26,7°
Meteoriparvi: Sporadinen
Meteoroidin rataelementit:
Perihelietäisyys: 0,960 AU
Eksentrisyys: 0,713
Inklinaatio: 14,5°
Nousevan solmun pituus: 170,3°
Perihelin argumentti: 152,7°
Keskianomalia: 3,3°
Epookki: 2024 SEP 12 22:49:03
orbit plot

Ei-interaktiivinen kuvaaja | Interaktiivinen kuvaaja

position vs time
speed and acceleration