🇳🇴 🇬🇧 🇩🇪 🇨🇿 🇫🇮

Meteor, poloha: Alta 2024-09-13 21:37:20 UTC

Soubor KML

Mapa zobrazuje dráhy meteoru. Světlejší čáry ukazují směry od pozorovacích stanic při objevení se meteoru a tmavší čáry, kde byl naposledy viděn. Modrá šipka značí viditelnou dráhu meteoru.

static map
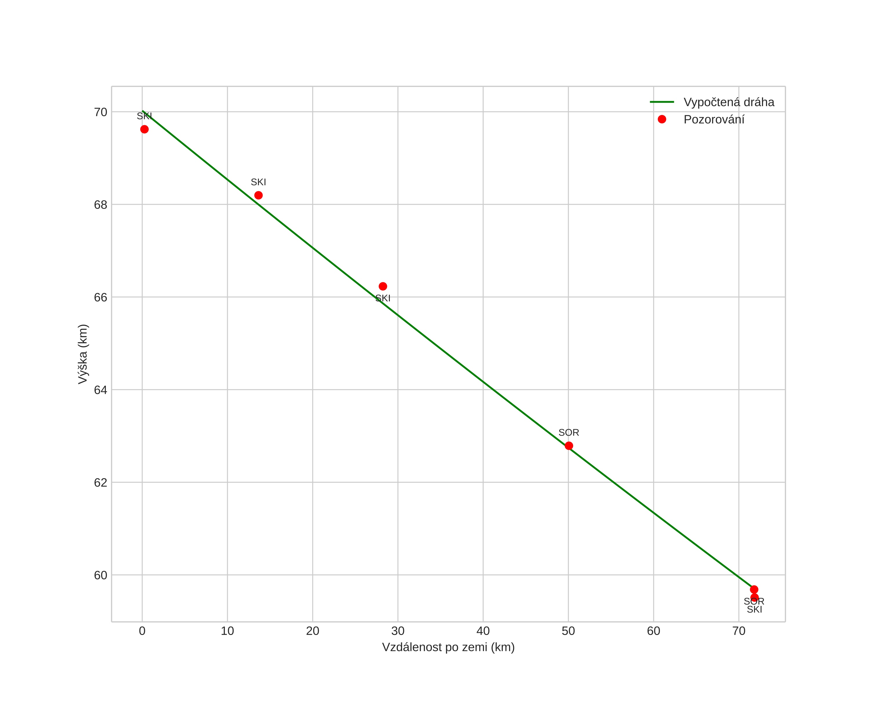
height profile
Atmosférická dráha meteoru:
Počáteční výška: 70,0 km
Konečná výška: 59,7 km
Počáteční poloha: 70,136N 22,037E
Konečná poloha: 69,767N 23,586E
Směr: 124,0°
Sklon: 8,2°
VstupnĂ­ rychlost: 19,7 km/s
Rektascenze radiantu: 14:27 (216,8°)
Deklinace radiantu: 9,8°
MeteorickĂ˝ roj: sporadickĂ˝
Elementy dráhy meteoroidu:
Vzdálenost v periheliu: 0,931 AU
Excentricita: 0,938
Sklon dráhy: 9,3°
Délka vzestupného uzlu: 171,2°
Argument perihelia: 147,7°
Střední anomálie: 0,4°
Epocha: 2024 SEP 13 21:37:20
orbit plot

NeinteraktivnĂ­ graf

position vs time
speed and acceleration