🇳🇴 🇬🇧 🇩🇪 🇨🇿 🇫🇮

Meteor Altan yllä 2024-09-13 21:37:20 UTC

KML-tiedosto

Kartta näyttää meteorin suuntahavainnot. Vaaleammat viivat näyttävät suunnat havaintoasemilta meteorin ilmestyessä, ja tummemmat viivat näyttävät, missä se viimeksi nähtiin. Sininen nuoli näyttää meteorin näkyvän lennon.

static map
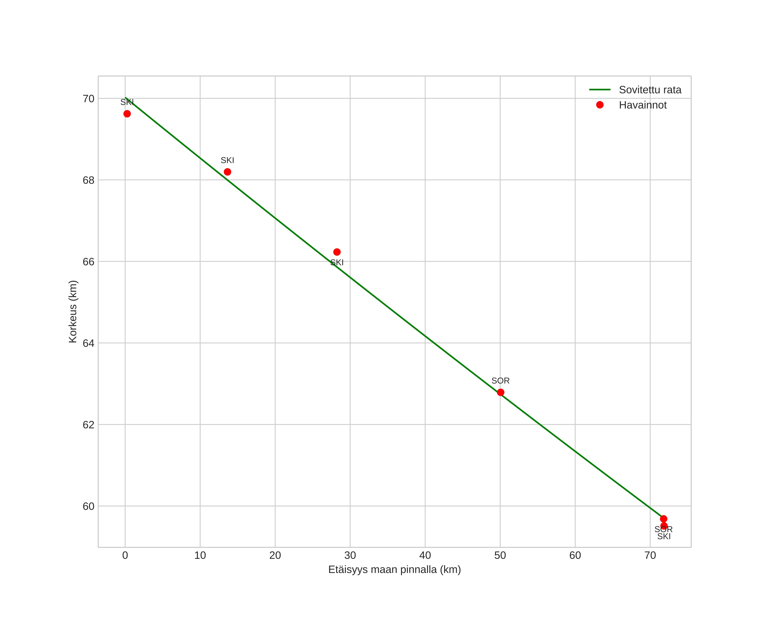
height profile
Meteorin ilmakehärata:
Alkukorkeus: 70,0 km
Loppukorkeus: 59,7 km
Alkupiste: 70,136N 22,037E
Loppupiste: 69,767N 23,586E
Suunta: 124,0°
Kallistuskulma: 8,2°
Tulonopeus: 19,7 km/s
Radiantin R,A,: 14:27 (216,8°)
Radiantin Dekl,: 9,8°
Meteoriparvi: Sporadinen
Meteoroidin rataelementit:
Perihelietäisyys: 0,931 AU
Eksentrisyys: 0,938
Inklinaatio: 9,3°
Nousevan solmun pituus: 171,2°
Perihelin argumentti: 147,7°
Keskianomalia: 0,4°
Epookki: 2024 SEP 13 21:37:20
orbit plot

Ei-interaktiivinen kuvaaja

position vs time
speed and acceleration