🇳🇴 🇬🇧 🇩🇪 🇨🇿 🇫🇮

Meteor, poloha: Skjervøy 2024-09-14 20:29:37 UTC

Soubor KML  |  InteraktivnĂ­ mapa

Mapa zobrazuje dráhy meteoru. Světlejší čáry ukazují směry od pozorovacích stanic při objevení se meteoru a tmavší čáry, kde byl naposledy viděn. Modrá šipka značí viditelnou dráhu meteoru.

static map
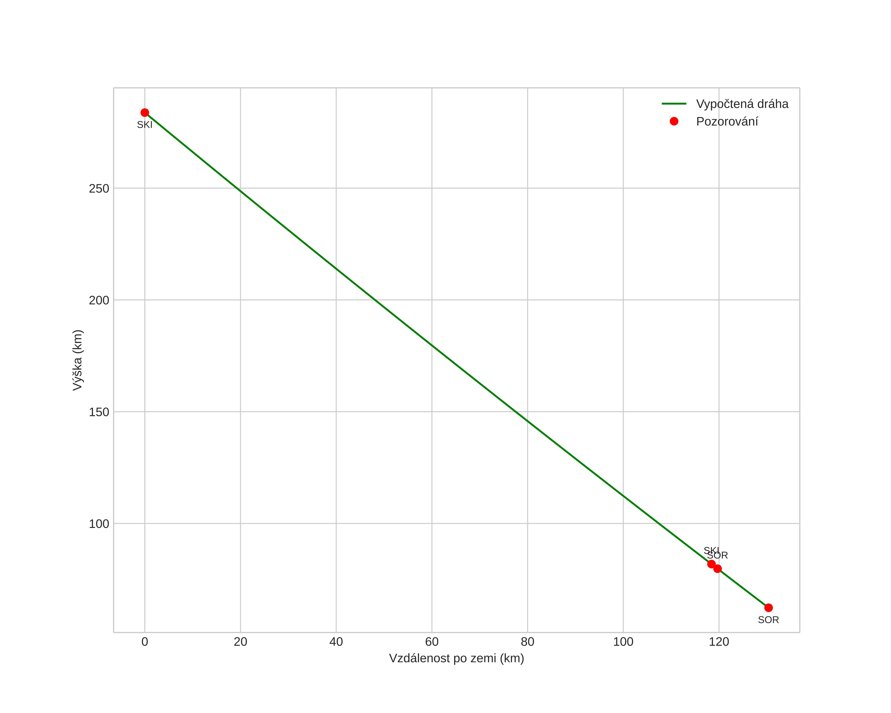
height profile
Atmosférická dráha meteoru:
Počáteční výška: 90,0 km
Konečná výška: 67,4 km
Počáteční poloha: 70,138N 20,410E
Konečná poloha: 70,132N 20,746E
Směr: 93,1°
Sklon: 60,7°
VstupnĂ­ rychlost: 20,8 km/s
Rektascenze radiantu: 17:12 (258,2°)
Deklinace radiantu: 53,6°
MeteorickĂ˝ roj: sporadickĂ˝
Elementy dráhy meteoroidu:
Vzdálenost v periheliu: 1,004 AU
Excentricita: 0,617
Sklon dráhy: 27,0°
Délka vzestupného uzlu: 172,2°
Argument perihelia: 175,4°
Střední anomálie: 0,9°
Epocha: 2024 SEP 14 20:29:37
orbit plot

NeinteraktivnĂ­ graf | InteraktivnĂ­ graf

position vs time
speed and acceleration