🇳🇴 🇬🇧 🇩🇪 🇨🇿 🇫🇮

Meteor Skjervøyn yllä 2024-09-14 20:29:37 UTC

KML-tiedosto  |  Interaktiivinen kartta

Kartta näyttää meteorin suuntahavainnot. Vaaleammat viivat näyttävät suunnat havaintoasemilta meteorin ilmestyessä, ja tummemmat viivat näyttävät, missä se viimeksi nähtiin. Sininen nuoli näyttää meteorin näkyvän lennon.

static map
height profile
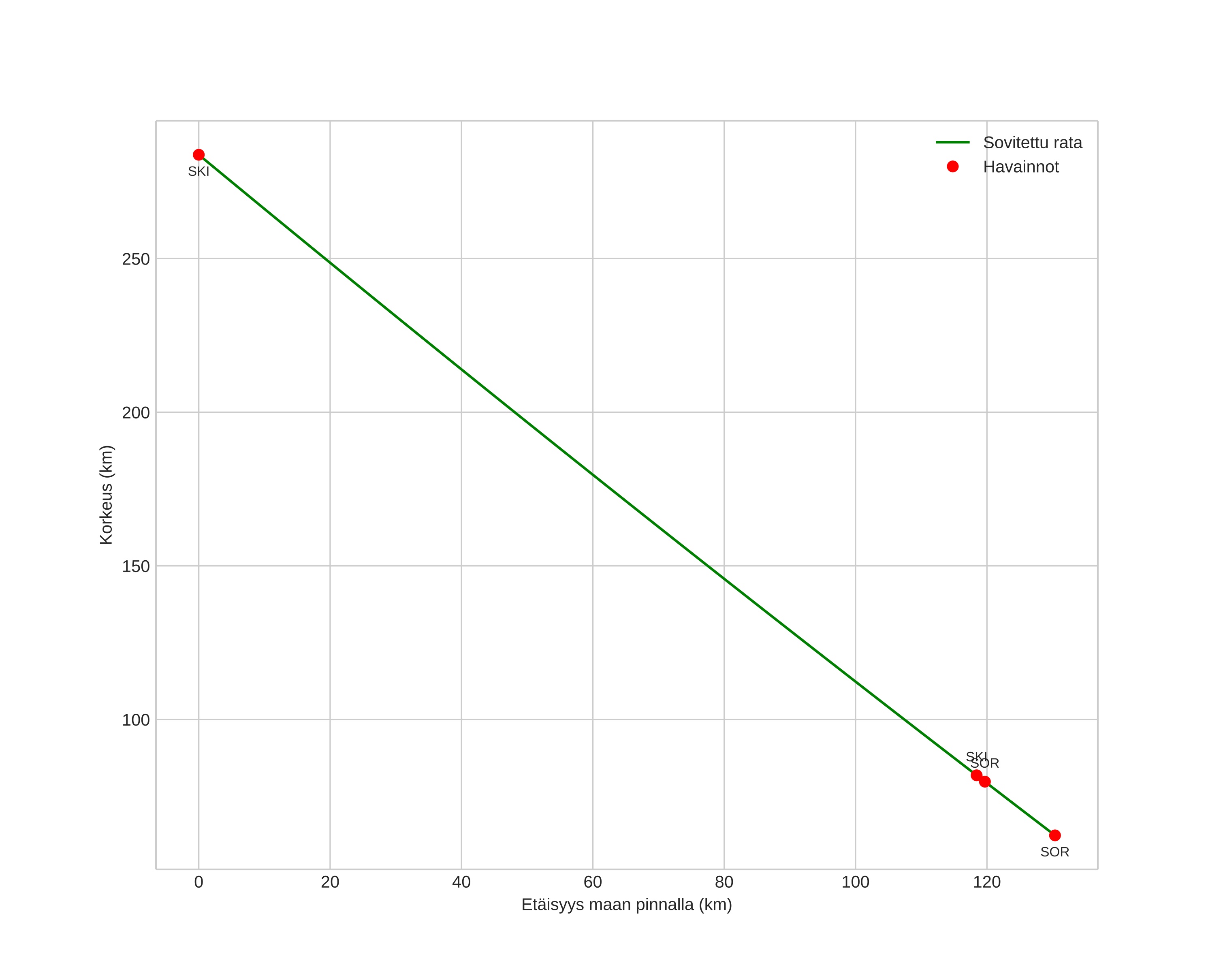
Meteorin ilmakehärata:
Alkukorkeus: 90,0 km
Loppukorkeus: 67,4 km
Alkupiste: 70,138N 20,410E
Loppupiste: 70,132N 20,746E
Suunta: 93,1°
Kallistuskulma: 60,7°
Tulonopeus: 20,8 km/s
Radiantin R,A,: 17:12 (258,2°)
Radiantin Dekl,: 53,6°
Meteoriparvi: Sporadinen
Meteoroidin rataelementit:
Perihelietäisyys: 1,004 AU
Eksentrisyys: 0,617
Inklinaatio: 27,0°
Nousevan solmun pituus: 172,2°
Perihelin argumentti: 175,4°
Keskianomalia: 0,9°
Epookki: 2024 SEP 14 20:29:37
orbit plot

Ei-interaktiivinen kuvaaja | Interaktiivinen kuvaaja

position vs time
speed and acceleration