🇳🇴 🇬🇧 🇩🇪 🇨🇿 🇫🇮

Meteor, poloha: Stange 2024-09-25 23:01:11 UTC

Soubor KML  |  InteraktivnĂ­ mapa

Mapa zobrazuje dráhy meteoru. Světlejší čáry ukazují směry od pozorovacích stanic při objevení se meteoru a tmavší čáry, kde byl naposledy viděn. Modrá šipka značí viditelnou dráhu meteoru.

static map
height profile
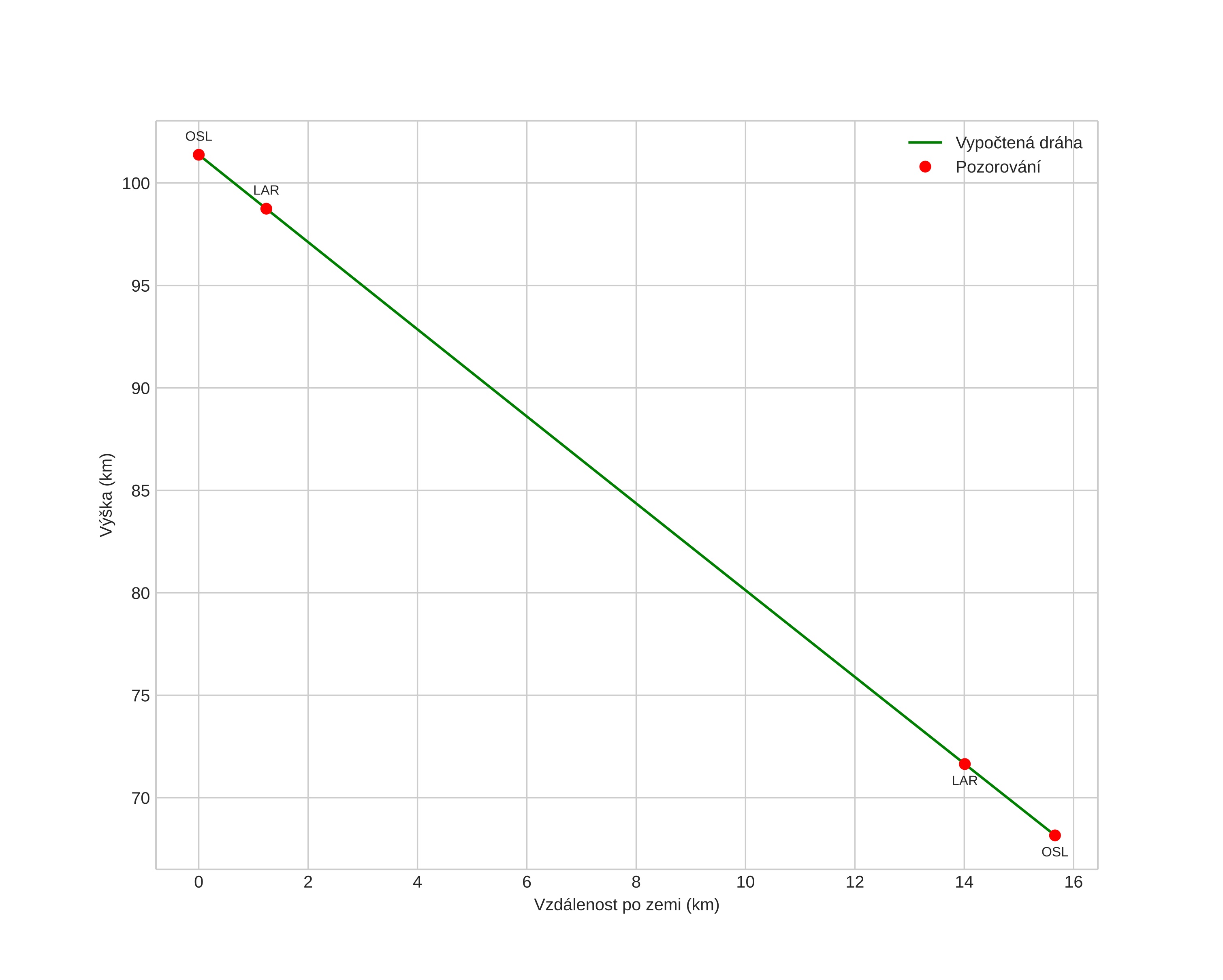
Atmosférická dráha meteoru:
Počáteční výška: 100,0 km
Konečná výška: 69,8 km
Počáteční poloha: 60,426N 11,035E
Konečná poloha: 60,569N 11,215E
Směr: 31,7°
Sklon: 58,1°
VstupnĂ­ rychlost: 30,6 km/s
Rektascenze radiantu: 22:45 (341,5°)
Deklinace radiantu: 29,7°
MeteorickĂ˝ roj: sporadickĂ˝
Elementy dráhy meteoroidu:
Vzdálenost v periheliu: 0,713 AU
Excentricita: 1,098
Sklon dráhy: 26,4°
Délka vzestupného uzlu: 183,0°
Argument perihelia: 243,4°
Střední anomálie: -1,7°
Epocha: 2024 SEP 25 23:01:11
orbit plot

NeinteraktivnĂ­ graf | InteraktivnĂ­ graf

position vs time
speed and acceleration