🇳🇴 🇬🇧 🇩🇪 🇨🇿 🇫🇮

Meteor Stangen yllä 2024-09-25 23:01:11 UTC

KML-tiedosto  |  Interaktiivinen kartta

Kartta näyttää meteorin suuntahavainnot. Vaaleammat viivat näyttävät suunnat havaintoasemilta meteorin ilmestyessä, ja tummemmat viivat näyttävät, missä se viimeksi nähtiin. Sininen nuoli näyttää meteorin näkyvän lennon.

static map
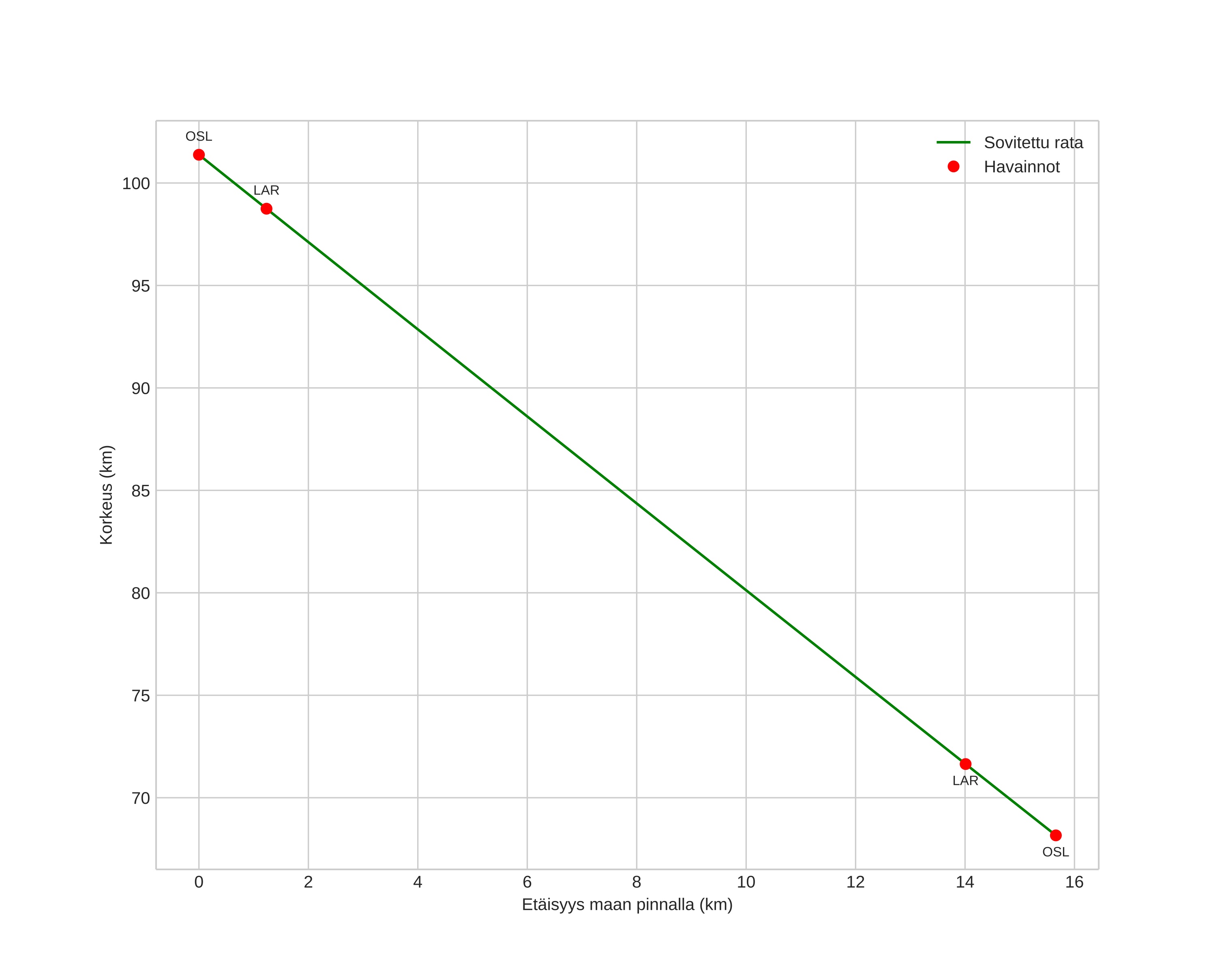
height profile
Meteorin ilmakehärata:
Alkukorkeus: 100,0 km
Loppukorkeus: 69,8 km
Alkupiste: 60,426N 11,035E
Loppupiste: 60,569N 11,215E
Suunta: 31,7°
Kallistuskulma: 58,1°
Tulonopeus: 30,6 km/s
Radiantin R,A,: 22:45 (341,5°)
Radiantin Dekl,: 29,7°
Meteoriparvi: Sporadinen
Meteoroidin rataelementit:
Perihelietäisyys: 0,713 AU
Eksentrisyys: 1,098
Inklinaatio: 26,4°
Nousevan solmun pituus: 183,0°
Perihelin argumentti: 243,4°
Keskianomalia: -1,7°
Epookki: 2024 SEP 25 23:01:11
orbit plot

Ei-interaktiivinen kuvaaja | Interaktiivinen kuvaaja

position vs time
speed and acceleration