🇳🇴 🇬🇧 🇩🇪 🇨🇿 🇫🇮

Meteor, poloha: Tofte 2024-09-26 20:34:53 UTC

Soubor KML  |  InteraktivnĂ­ mapa

Mapa zobrazuje dráhy meteoru. Světlejší čáry ukazují směry od pozorovacích stanic při objevení se meteoru a tmavší čáry, kde byl naposledy viděn. Modrá šipka značí viditelnou dráhu meteoru.

static map
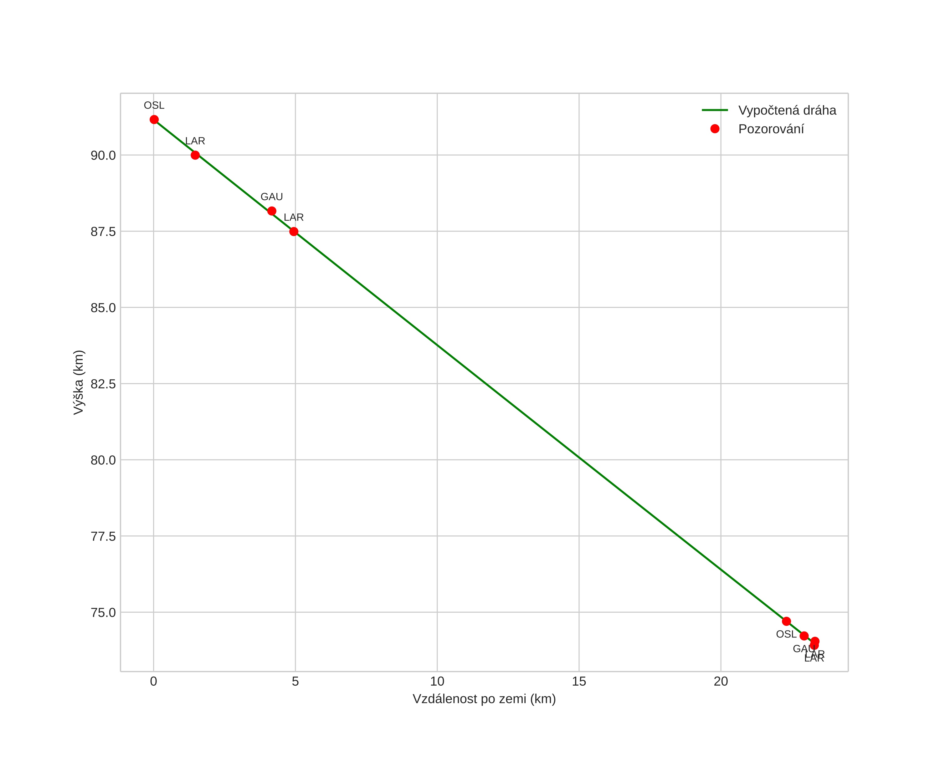
height profile
Atmosférická dráha meteoru:
Počáteční výška: 91,4 km
Konečná výška: 74,2 km
Počáteční poloha: 59,763N 10,472E
Konečná poloha: 59,572N 10,649E
Směr: 154,8°
Sklon: 36,2°
VstupnĂ­ rychlost: 43,6 km/s
Rektascenze radiantu: 12:41 (190,4°)
Deklinace radiantu: 60,5°
MeteorickĂ˝ roj: sporadickĂ˝
Elementy dráhy meteoroidu:
Vzdálenost v periheliu: 0,819 AU
Excentricita: 1,122
Sklon dráhy: 64,0°
Délka vzestupného uzlu: 183,9°
Argument perihelia: 130,9°
Střední anomálie: 1,7°
Epocha: 2024 SEP 26 20:34:53
orbit plot

NeinteraktivnĂ­ graf | InteraktivnĂ­ graf

position vs time
speed and acceleration