🇳🇴 🇬🇧 🇩🇪 🇨🇿 🇫🇮

Meteor Toften yllä 2024-09-26 20:34:53 UTC

KML-tiedosto  |  Interaktiivinen kartta

Kartta näyttää meteorin suuntahavainnot. Vaaleammat viivat näyttävät suunnat havaintoasemilta meteorin ilmestyessä, ja tummemmat viivat näyttävät, missä se viimeksi nähtiin. Sininen nuoli näyttää meteorin näkyvän lennon.

static map
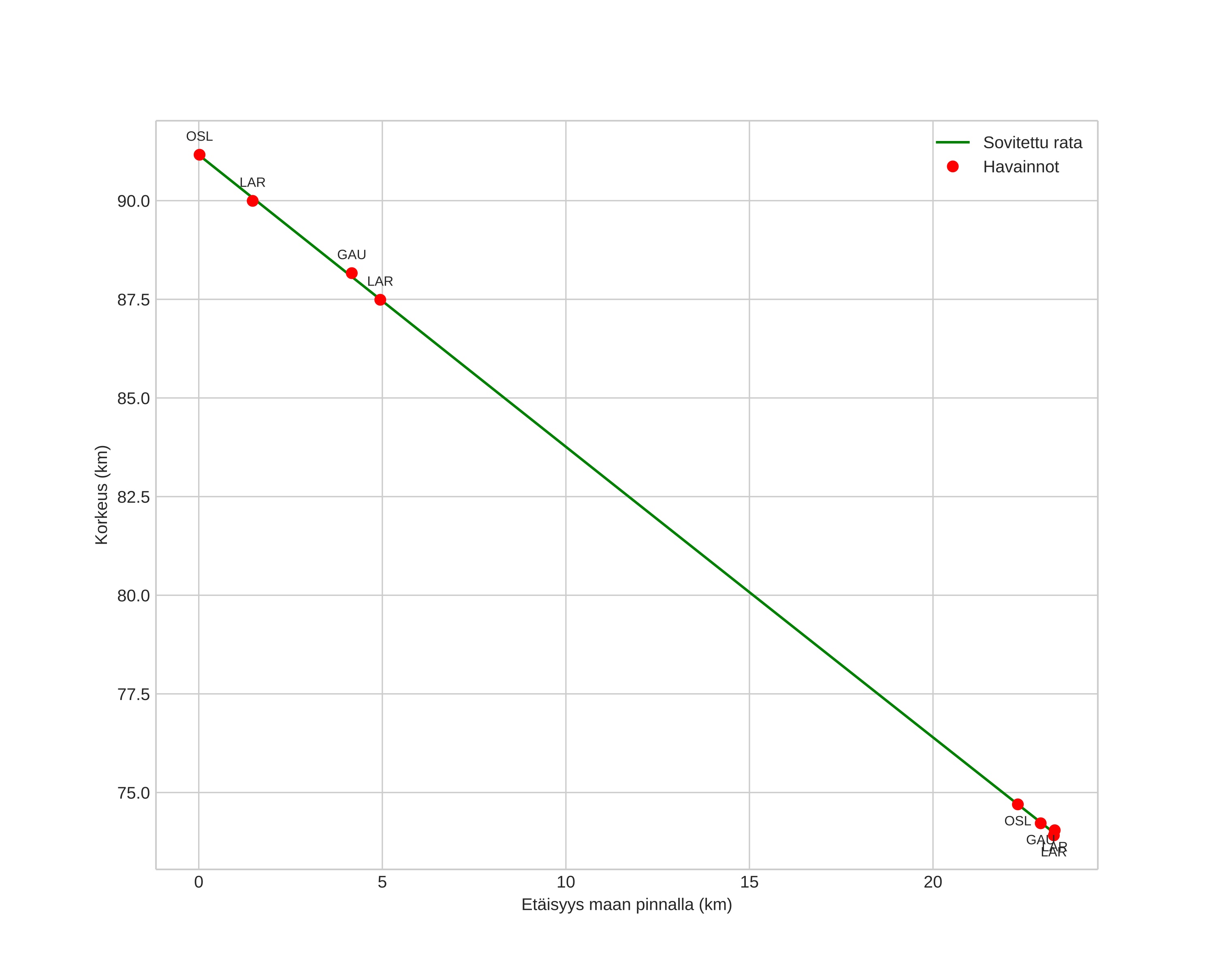
height profile
Meteorin ilmakehärata:
Alkukorkeus: 91,4 km
Loppukorkeus: 74,2 km
Alkupiste: 59,763N 10,472E
Loppupiste: 59,572N 10,649E
Suunta: 154,8°
Kallistuskulma: 36,2°
Tulonopeus: 43,6 km/s
Radiantin R,A,: 12:41 (190,4°)
Radiantin Dekl,: 60,5°
Meteoriparvi: Sporadinen
Meteoroidin rataelementit:
Perihelietäisyys: 0,819 AU
Eksentrisyys: 1,122
Inklinaatio: 64,0°
Nousevan solmun pituus: 183,9°
Perihelin argumentti: 130,9°
Keskianomalia: 1,7°
Epookki: 2024 SEP 26 20:34:53
orbit plot

Ei-interaktiivinen kuvaaja | Interaktiivinen kuvaaja

position vs time
speed and acceleration