🇳🇴 🇬🇧 🇩🇪 🇨🇿 🇫🇮

Meteor, poloha: Tromsø 2024-09-28 22:46:30 UTC

Soubor KML  |  InteraktivnĂ­ mapa

Mapa zobrazuje dráhy meteoru. Světlejší čáry ukazují směry od pozorovacích stanic při objevení se meteoru a tmavší čáry, kde byl naposledy viděn. Modrá šipka značí viditelnou dráhu meteoru.

static map
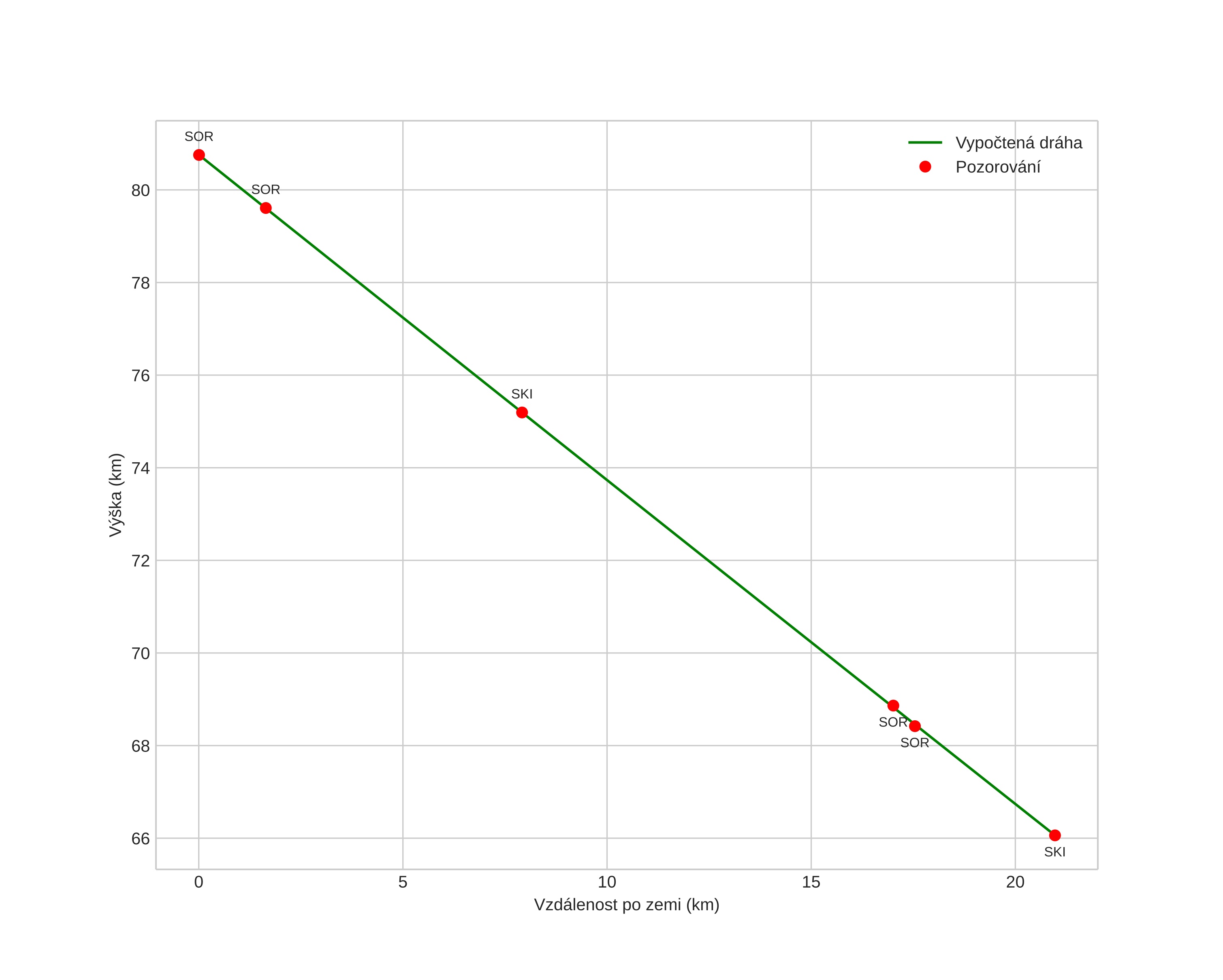
height profile
Atmosférická dráha meteoru:
Počáteční výška: 80,8 km
Konečná výška: 66,1 km
Počáteční poloha: 69,839N 17,934E
Konečná poloha: 69,921N 18,428E
Směr: 63,9°
Sklon: 35,0°
VstupnĂ­ rychlost: 15,9 km/s
Rektascenze radiantu: 20:38 (309,7°)
Deklinace radiantu: 15,0°
MeteorickĂ˝ roj: sporadickĂ˝
Elementy dráhy meteoroidu:
Vzdálenost v periheliu: 0,961 AU
Excentricita: 0,667
Sklon dráhy: 9,4°
Délka vzestupného uzlu: 185,9°
Argument perihelia: 206,0°
Střední anomálie: 356,0°
Epocha: 2024 SEP 28 22:46:30
orbit plot

NeinteraktivnĂ­ graf | InteraktivnĂ­ graf

position vs time
speed and acceleration