🇳🇴 🇬🇧 🇩🇪 🇨🇿 🇫🇮

Meteor Tromsøin yllä 2024-09-28 22:46:30 UTC

KML-tiedosto  |  Interaktiivinen kartta

Kartta näyttää meteorin suuntahavainnot. Vaaleammat viivat näyttävät suunnat havaintoasemilta meteorin ilmestyessä, ja tummemmat viivat näyttävät, missä se viimeksi nähtiin. Sininen nuoli näyttää meteorin näkyvän lennon.

static map
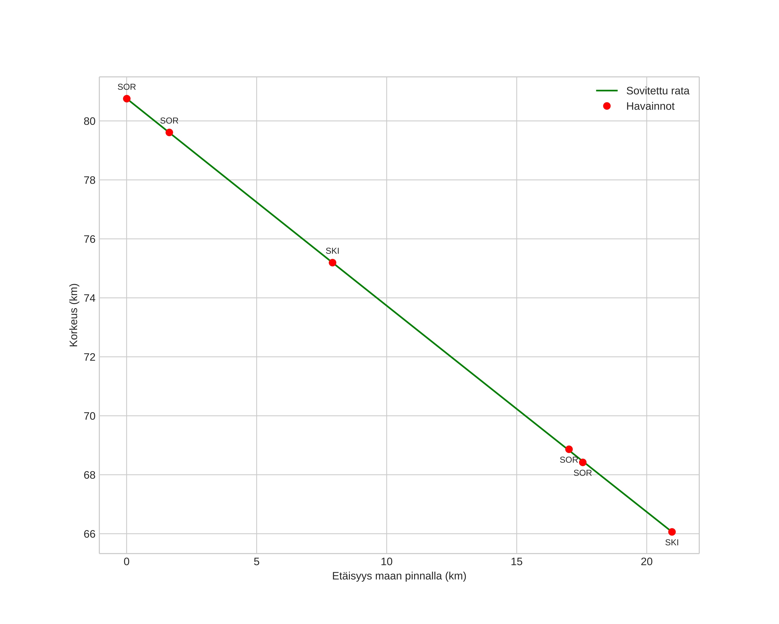
height profile
Meteorin ilmakehärata:
Alkukorkeus: 80,8 km
Loppukorkeus: 66,1 km
Alkupiste: 69,839N 17,934E
Loppupiste: 69,921N 18,428E
Suunta: 63,9°
Kallistuskulma: 35,0°
Tulonopeus: 15,9 km/s
Radiantin R,A,: 20:38 (309,7°)
Radiantin Dekl,: 15,0°
Meteoriparvi: Sporadinen
Meteoroidin rataelementit:
Perihelietäisyys: 0,961 AU
Eksentrisyys: 0,667
Inklinaatio: 9,4°
Nousevan solmun pituus: 185,9°
Perihelin argumentti: 206,0°
Keskianomalia: 356,0°
Epookki: 2024 SEP 28 22:46:30
orbit plot

Ei-interaktiivinen kuvaaja | Interaktiivinen kuvaaja

position vs time
speed and acceleration