🇳🇴 🇬🇧 🇩🇪 🇨🇿 🇫🇮

Meteor, poloha: Ă…neby 2024-09-29 19:36:57 UTC

Soubor KML

Mapa zobrazuje dráhy meteoru. Světlejší čáry ukazují směry od pozorovacích stanic při objevení se meteoru a tmavší čáry, kde byl naposledy viděn. Modrá šipka značí viditelnou dráhu meteoru.

static map
height profile
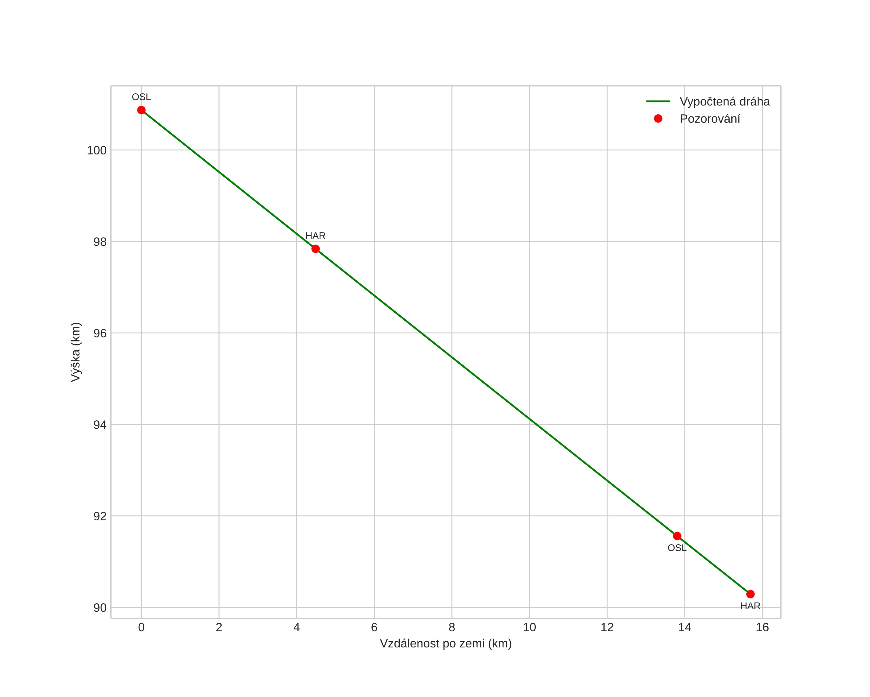
Atmosférická dráha meteoru:
Počáteční výška: 100,9 km
Konečná výška: 90,3 km
Počáteční poloha: 60,013N 11,097E
Konečná poloha: 60,081N 10,849E
Směr: 299,0°
Sklon: 34,0°
VstupnĂ­ rychlost: 31,4 km/s
Rektascenze radiantu: 00:14 (3,7°)
Deklinace radiantu: 14,6°
MeteorickĂ˝ roj: sporadickĂ˝
Elementy dráhy meteoroidu:
Vzdálenost v periheliu: 0,491 AU
Excentricita: 0,956
Sklon dráhy: 11,9°
Délka vzestupného uzlu: 186,8°
Argument perihelia: 272,4°
Střední anomálie: 359,0°
Epocha: 2024 SEP 29 19:36:57
orbit plot

NeinteraktivnĂ­ graf

position vs time
speed and acceleration