🇳🇴 🇬🇧 🇩🇪 🇨🇿 🇫🇮

Meteor Ånebyn yllä 2024-09-29 19:36:57 UTC

KML-tiedosto  |  Interaktiivinen kartta

Kartta näyttää meteorin suuntahavainnot. Vaaleammat viivat näyttävät suunnat havaintoasemilta meteorin ilmestyessä, ja tummemmat viivat näyttävät, missä se viimeksi nähtiin. Sininen nuoli näyttää meteorin näkyvän lennon.

static map
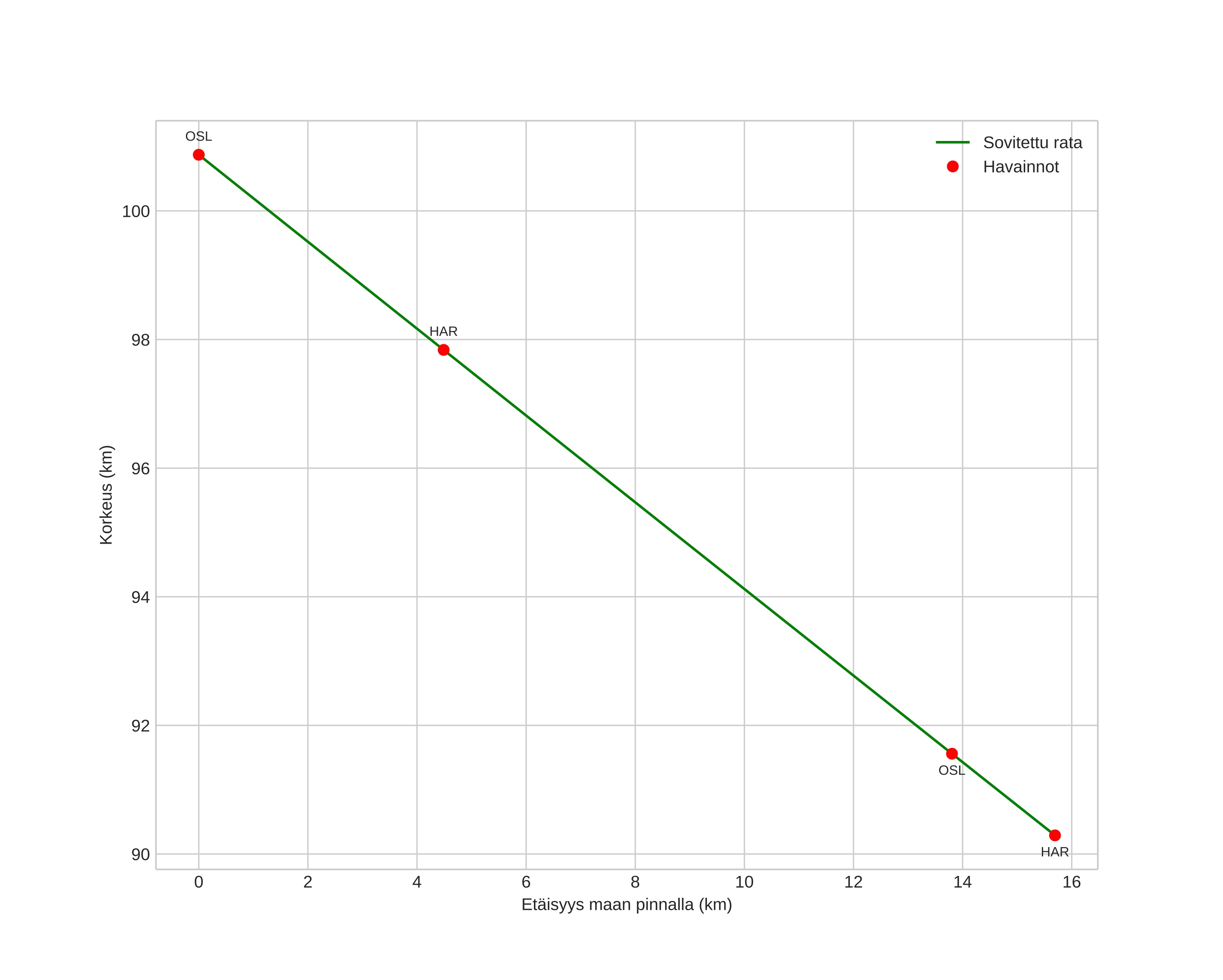
height profile
Meteorin ilmakehärata:
Alkukorkeus: 100,9 km
Loppukorkeus: 90,3 km
Alkupiste: 60,013N 11,097E
Loppupiste: 60,081N 10,850E
Suunta: 299,0°
Kallistuskulma: 34,0°
Tulonopeus: 31,4 km/s
Radiantin R,A,: 00:14 (3,7°)
Radiantin Dekl,: 14,6°
Meteoriparvi: Sporadinen
Meteoroidin rataelementit:
Perihelietäisyys: 0,491 AU
Eksentrisyys: 0,956
Inklinaatio: 11,9°
Nousevan solmun pituus: 186,8°
Perihelin argumentti: 272,4°
Keskianomalia: 358,9°
Epookki: 2024 SEP 29 19:36:57
orbit plot

Ei-interaktiivinen kuvaaja | Interaktiivinen kuvaaja

position vs time
speed and acceleration