🇳🇴 🇬🇧 🇩🇪 🇨🇿 🇫🇮

Meteor, poloha: Norðurþing 2024-09-29 21:58:53 UTC

Soubor KML

Mapa zobrazuje dráhy meteoru. Světlejší čáry ukazují směry od pozorovacích stanic při objevení se meteoru a tmavší čáry, kde byl naposledy viděn. Modrá šipka značí viditelnou dráhu meteoru.

static map
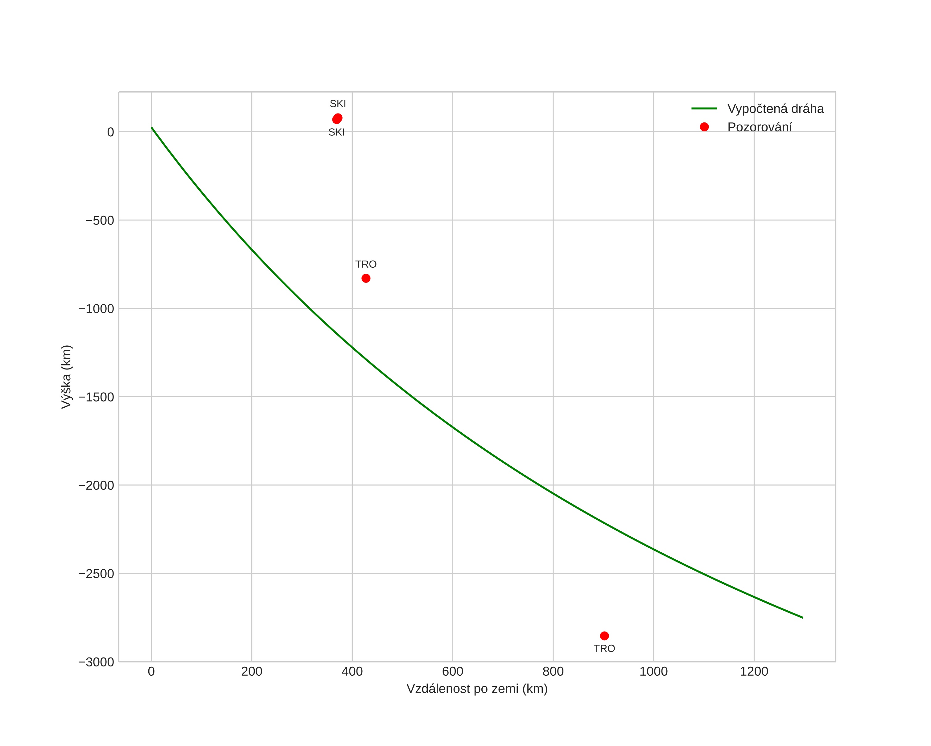
height profile
Atmosférická dráha meteoru:
Počáteční výška: 25,3 km
Konečná výška: -2751,6 km
Počáteční poloha: 66,706N 12,438E
Konečná poloha: 72,300N -17,366E
Směr: 311,7°
Sklon: 65,0°
VstupnĂ­ rychlost: 12,0 km/s
Rektascenze radiantu: 01:31 (22,8°)
Deklinace radiantu: 35,4°
MeteorickĂ˝ roj: sporadickĂ˝
Elementy dráhy meteoroidu:
Vzdálenost v periheliu: 0,755 AU
Excentricita: 0,171
Sklon dráhy: 3,6°
Délka vzestupného uzlu: 186,9°
Argument perihelia: 313,1°
Střední anomálie: 242,6°
Epocha: 2024 SEP 29 21:58:53
orbit plot

NeinteraktivnĂ­ graf

position vs time
speed and acceleration

Trondheim (TRO) cam6


gnomonic
Videa
• Gnomonická
• Gnomonická se souřadnicemi
• Původní
• Původní se souřadnicemi
Obrázky
• Gnomonická
• Gnomonická se souřadnicemi
• Gnomonická s popisky
• Původní
• Původní se souřadnicemi
Textové soubory
• Detekce
• Pozorování
• Souřadnice
Jasnost