🇳🇴 🇬🇧 🇩🇪 🇨🇿 🇫🇮

Meteor über Norðurþing 2024-09-29 21:58:53 UTC

KML-Datei

Die Karte zeigt die Peilungen für den Meteor. Die helleren Linien zeigen die Richtungen von den Beobachtungsorten beim Erscheinen des Meteors, und die dunkleren Linien, wo er zuletzt gesehen wurde. Der blaue Pfeil zeigt die sichtbare Bahn des Meteors.

static map
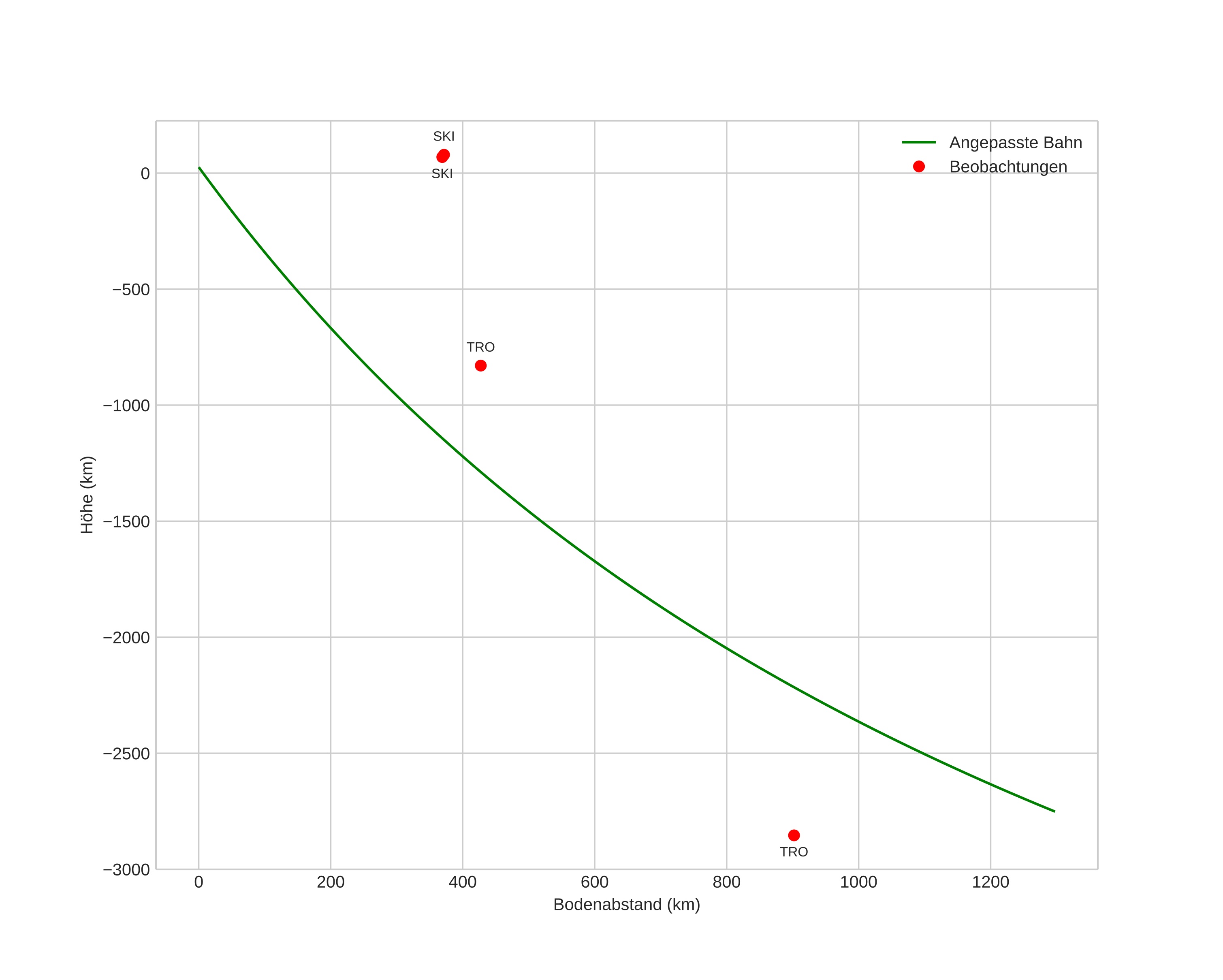
height profile
Atmosphärische Bahn des Meteors:
Anfangshöhe: 25,3 km
Endhöhe: -2751,6 km
Startposition: 66,706N 12,438E
Endposition: 72,300N -17,366E
Richtung: 311,7°
Neigungswinkel: 65,0°
Eintrittsgeschwindigkeit: 12,0 km/s
Rektaszension des Radianten: 01:31 (22,8°)
Deklination des Radianten: 35,4°
Meteorstrom: sporadisch
Bahnelemente des Meteoroiden:
Periheldistanz: 0,755 AU
Exzentrizität: 0,171
Inklination: 3,6°
Länge des aufsteigenden Knotens: 186,9°
Argument des Perihels: 313,1°
Mittlere Anomalie: 242,6°
Epoche: 2024 SEP 29 21:58:53
orbit plot

Nicht-interaktives Diagramm

position vs time
speed and acceleration

Trondheim (TRO) cam6


gnomonic
Videos
• Gnomonisch
• Gnomonisch mit Koordinaten
• Original
• Original mit Koordinaten
Bilder
• Gnomonisch
• Gnomonisch mit Koordinaten
• Gnomonisch mit Beschriftungen
• Original
• Original mit Koordinaten
Textdateien
• Erkennung
• Beobachtung
• Koordinaten
Helligkeit