🇳🇴 🇬🇧 🇩🇪 🇨🇿 🇫🇮

Meteor, poloha: Fossbergom 2024-10-01 18:52:56 UTC

Soubor KML  |  InteraktivnĂ­ mapa

Mapa zobrazuje dráhy meteoru. Světlejší čáry ukazují směry od pozorovacích stanic při objevení se meteoru a tmavší čáry, kde byl naposledy viděn. Modrá šipka značí viditelnou dráhu meteoru.

static map
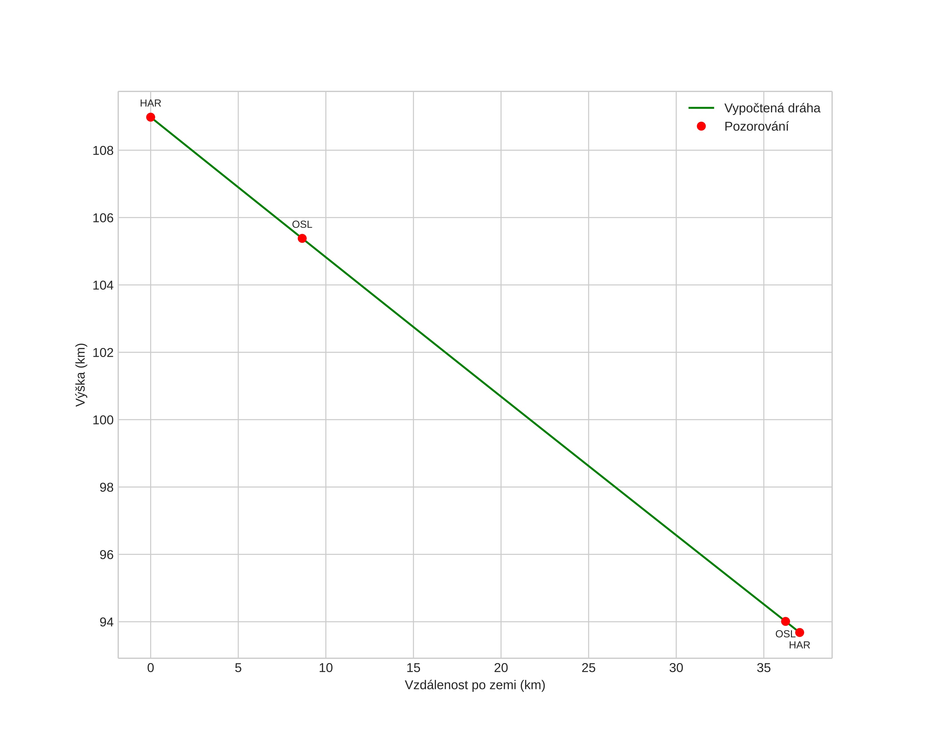
height profile
Atmosférická dráha meteoru:
Počáteční výška: 109,1 km
Konečná výška: 93,3 km
Počáteční poloha: 61,735N 9,314E
Konečná poloha: 61,526N 8,738E
Směr: 232,8°
Sklon: 22,4°
VstupnĂ­ rychlost: 59,5 km/s
Rektascenze radiantu: 03:45 (56,5°)
Deklinace radiantu: 36,3°
MeteorickĂ˝ roj: sporadickĂ˝
Elementy dráhy meteoroidu:
Vzdálenost v periheliu: 0,286 AU
Excentricita: 0,953
Sklon dráhy: 133,7°
Délka vzestupného uzlu: 188,7°
Argument perihelia: 297,6°
Střední anomálie: 357,6°
Epocha: 2024 OCT 01 18:52:56
orbit plot

NeinteraktivnĂ­ graf | InteraktivnĂ­ graf

position vs time
speed and acceleration

Voksenlia (OSL) cam1


gnomonic
Videa
• Gnomonická
• Gnomonická se souřadnicemi
• Původní
• Původní se souřadnicemi
Obrázky
• Gnomonická
• Gnomonická se souřadnicemi
• Původní
• Původní se souřadnicemi
Textové soubory
• Detekce
• Pozorování
• Souřadnice
• Protokol
Jasnost