🇳🇴 🇬🇧 🇩🇪 🇨🇿 🇫🇮

Meteor Fossbergomin yllä 2024-10-01 18:52:56 UTC

KML-tiedosto  |  Interaktiivinen kartta

Kartta näyttää meteorin suuntahavainnot. Vaaleammat viivat näyttävät suunnat havaintoasemilta meteorin ilmestyessä, ja tummemmat viivat näyttävät, missä se viimeksi nähtiin. Sininen nuoli näyttää meteorin näkyvän lennon.

static map
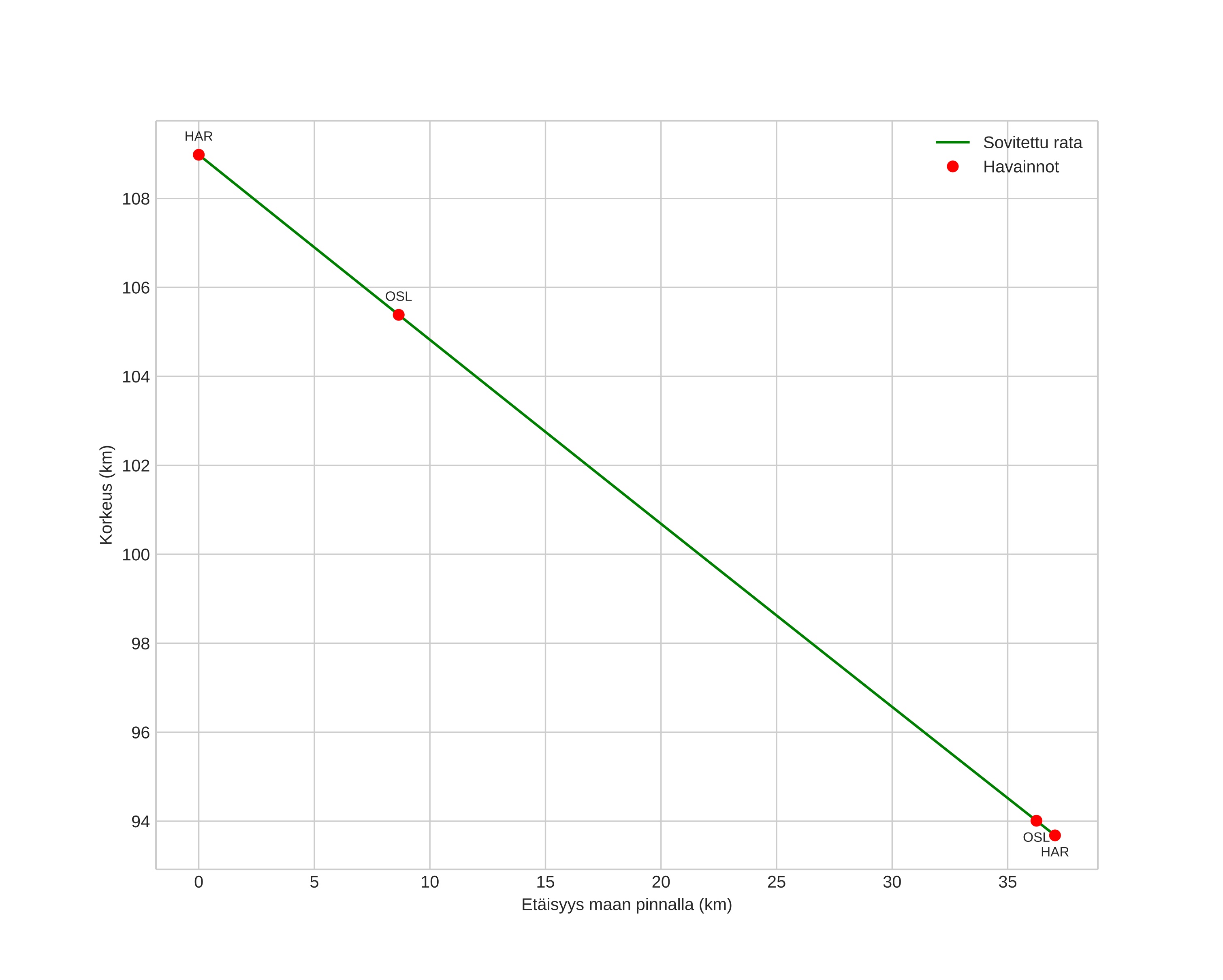
height profile
Meteorin ilmakehärata:
Alkukorkeus: 109,1 km
Loppukorkeus: 93,3 km
Alkupiste: 61,735N 9,314E
Loppupiste: 61,526N 8,738E
Suunta: 232,8°
Kallistuskulma: 22,4°
Tulonopeus: 59,5 km/s
Radiantin R,A,: 03:45 (56,5°)
Radiantin Dekl,: 36,3°
Meteoriparvi: Sporadinen
Meteoroidin rataelementit:
Perihelietäisyys: 0,286 AU
Eksentrisyys: 0,953
Inklinaatio: 133,7°
Nousevan solmun pituus: 188,7°
Perihelin argumentti: 297,6°
Keskianomalia: 357,6°
Epookki: 2024 OCT 01 18:52:56
orbit plot

Ei-interaktiivinen kuvaaja | Interaktiivinen kuvaaja

position vs time
speed and acceleration

Voksenlia (OSL) cam1


gnomonic
Videot:
• Gnomoninen
• Gnomoninen koordinaateilla
• Alkuperäinen
• Alkuperäinen koordinaateilla
Kuvat:
• Gnomoninen
• Gnomoninen koordinaateilla
• Alkuperäinen
• Alkuperäinen koordinaateilla
Tekstitiedostot:
• Havaintoraportti
• Observaatio
• Koordinaatit
• Loki
Kirkkaus