🇳🇴 🇬🇧 🇩🇪 🇨🇿 🇫🇮

Meteor, poloha: Lervik 2024-10-02 00:34:29 UTC

Soubor KML  |  InteraktivnĂ­ mapa

Mapa zobrazuje dráhy meteoru. Světlejší čáry ukazují směry od pozorovacích stanic při objevení se meteoru a tmavší čáry, kde byl naposledy viděn. Modrá šipka značí viditelnou dráhu meteoru.

static map
height profile
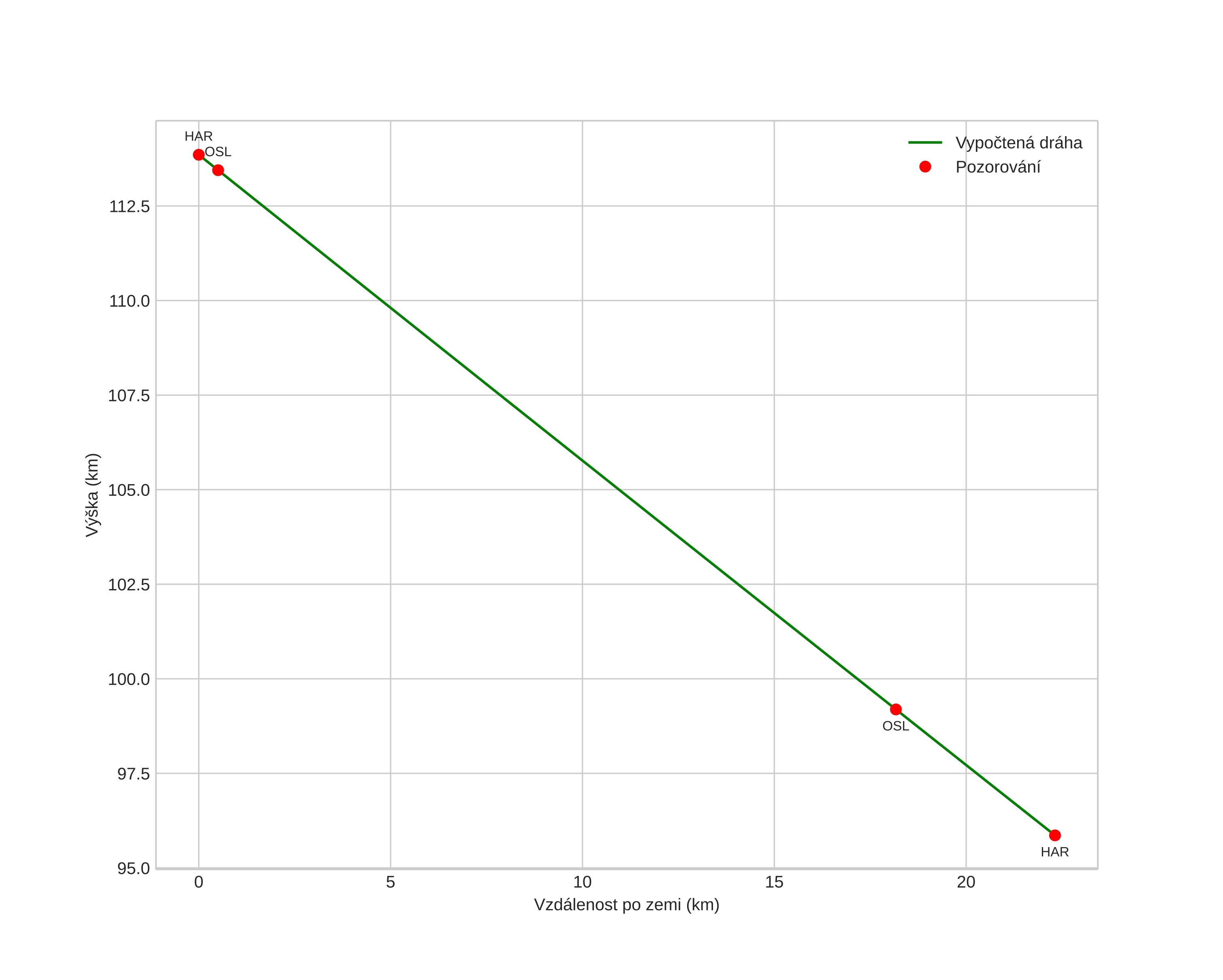
Atmosférická dráha meteoru:
Počáteční výška: 113,6 km
Konečná výška: 95,3 km
Počáteční poloha: 59,280N 11,122E
Konečná poloha: 59,201N 10,754E
Směr: 247,2°
Sklon: 38,8°
VstupnĂ­ rychlost: 67,9 km/s
Rektascenze radiantu: 07:43 (115,8°)
Deklinace radiantu: 43,8°
MeteorickĂ˝ roj: sporadickĂ˝
Elementy dráhy meteoroidu:
Vzdálenost v periheliu: 0,926 AU
Excentricita: 0,941
Sklon dráhy: 141,0°
Délka vzestupného uzlu: 189,0°
Argument perihelia: 147,7°
Střední anomálie: 0,3°
Epocha: 2024 OCT 02 00:34:29
orbit plot

NeinteraktivnĂ­ graf | InteraktivnĂ­ graf

position vs time
speed and acceleration