🇳🇴 🇬🇧 🇩🇪 🇨🇿 🇫🇮

Meteor Lervikin yllä 2024-10-02 00:34:29 UTC

KML-tiedosto  |  Interaktiivinen kartta

Kartta näyttää meteorin suuntahavainnot. Vaaleammat viivat näyttävät suunnat havaintoasemilta meteorin ilmestyessä, ja tummemmat viivat näyttävät, missä se viimeksi nähtiin. Sininen nuoli näyttää meteorin näkyvän lennon.

static map
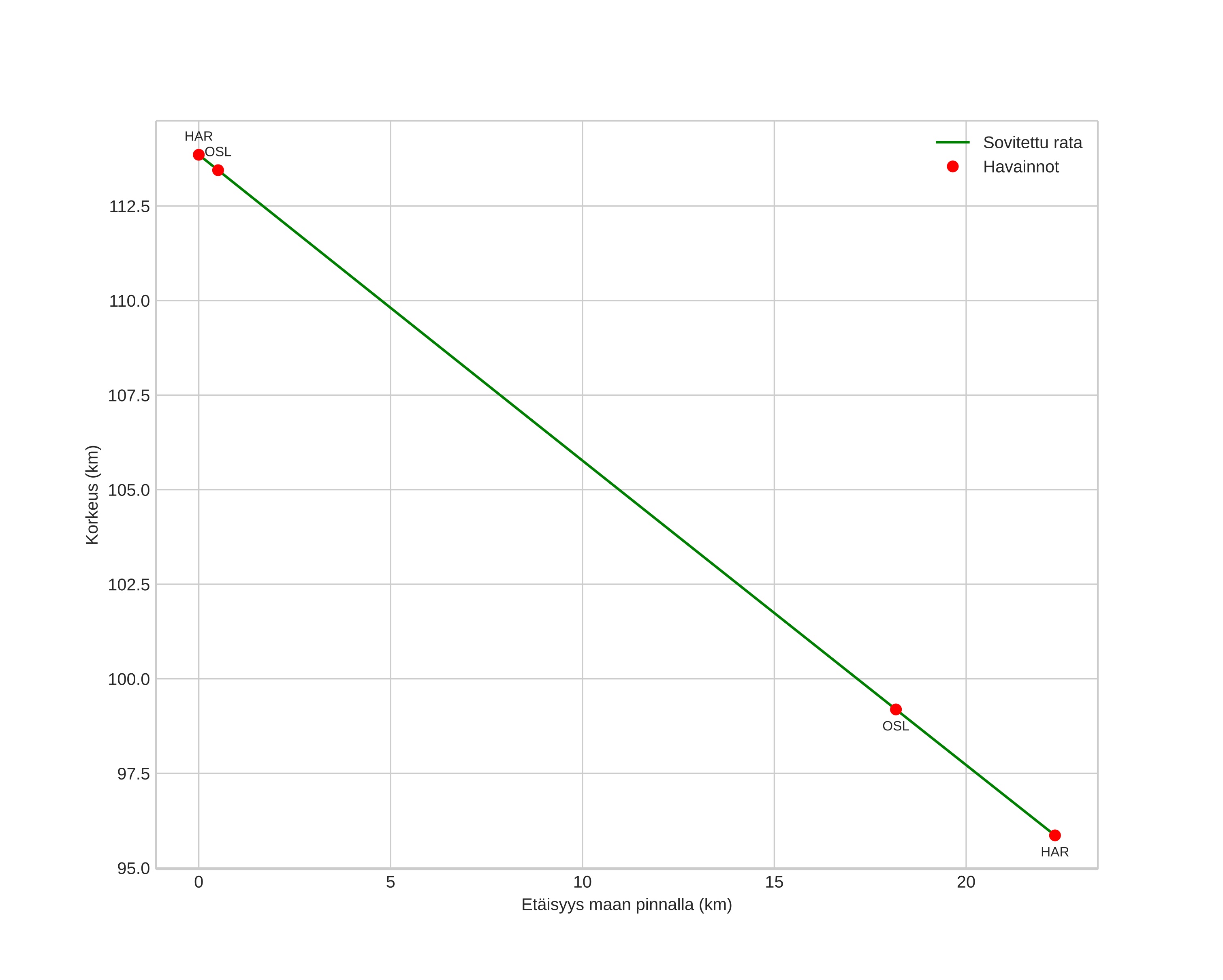
height profile
Meteorin ilmakehärata:
Alkukorkeus: 113,6 km
Loppukorkeus: 95,3 km
Alkupiste: 59,280N 11,122E
Loppupiste: 59,201N 10,754E
Suunta: 247,2°
Kallistuskulma: 38,8°
Tulonopeus: 67,9 km/s
Radiantin R,A,: 07:43 (115,8°)
Radiantin Dekl,: 43,8°
Meteoriparvi: Sporadinen
Meteoroidin rataelementit:
Perihelietäisyys: 0,926 AU
Eksentrisyys: 0,941
Inklinaatio: 141,0°
Nousevan solmun pituus: 189,0°
Perihelin argumentti: 147,7°
Keskianomalia: 0,3°
Epookki: 2024 OCT 02 00:34:29
orbit plot

Ei-interaktiivinen kuvaaja | Interaktiivinen kuvaaja

position vs time
speed and acceleration