🇳🇴 🇬🇧 🇩🇪 🇨🇿 🇫🇮

Meteor, poloha: Dokka 2024-10-02 00:55:24 UTC

Soubor KML  |  InteraktivnĂ­ mapa

Mapa zobrazuje dráhy meteoru. Světlejší čáry ukazují směry od pozorovacích stanic při objevení se meteoru a tmavší čáry, kde byl naposledy viděn. Modrá šipka značí viditelnou dráhu meteoru.

static map
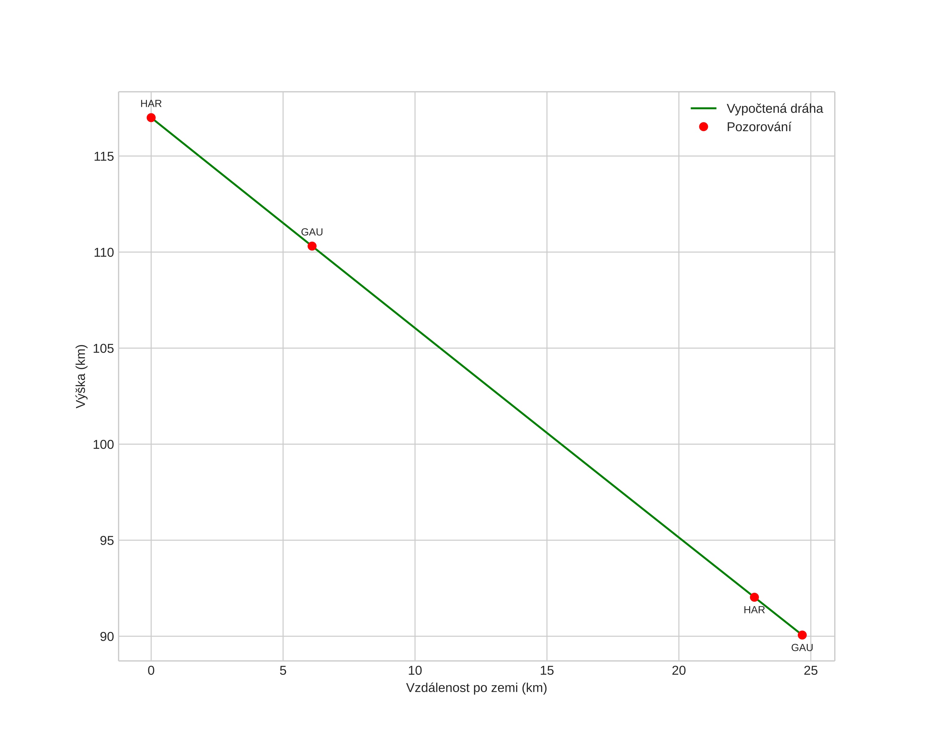
height profile
Atmosférická dráha meteoru:
Počáteční výška: 115,2 km
Konečná výška: 91,0 km
Počáteční poloha: 60,748N 10,274E
Konečná poloha: 60,668N 9,895E
Směr: 246,8°
Sklon: 47,2°
VstupnĂ­ rychlost: 68,1 km/s
Rektascenze radiantu: 07:34 (113,7°)
Deklinace radiantu: 50,3°
MeteorickĂ˝ roj: sporadickĂ˝
Elementy dráhy meteoroidu:
Vzdálenost v periheliu: 0,972 AU
Excentricita: 1,130
Sklon dráhy: 132,1°
Délka vzestupného uzlu: 189,0°
Argument perihelia: 160,9°
Střední anomálie: 0,6°
Epocha: 2024 OCT 02 00:55:24
orbit plot

NeinteraktivnĂ­ graf | InteraktivnĂ­ graf

position vs time
speed and acceleration