🇳🇴 🇬🇧 🇩🇪 🇨🇿 🇫🇮

Meteor Dokkan yllä 2024-10-02 00:55:24 UTC

KML-tiedosto  |  Interaktiivinen kartta

Kartta näyttää meteorin suuntahavainnot. Vaaleammat viivat näyttävät suunnat havaintoasemilta meteorin ilmestyessä, ja tummemmat viivat näyttävät, missä se viimeksi nähtiin. Sininen nuoli näyttää meteorin näkyvän lennon.

static map
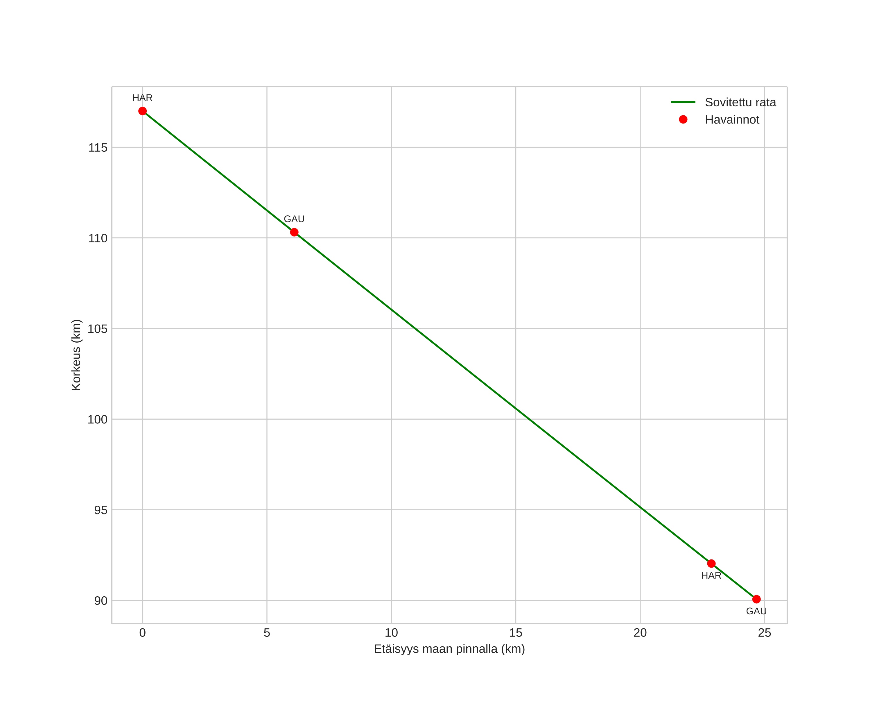
height profile
Meteorin ilmakehärata:
Alkukorkeus: 115,2 km
Loppukorkeus: 91,0 km
Alkupiste: 60,748N 10,274E
Loppupiste: 60,668N 9,895E
Suunta: 246,8°
Kallistuskulma: 47,2°
Tulonopeus: 68,1 km/s
Radiantin R,A,: 07:34 (113,7°)
Radiantin Dekl,: 50,3°
Meteoriparvi: Sporadinen
Meteoroidin rataelementit:
Perihelietäisyys: 0,972 AU
Eksentrisyys: 1,130
Inklinaatio: 132,1°
Nousevan solmun pituus: 189,0°
Perihelin argumentti: 160,9°
Keskianomalia: 0,6°
Epookki: 2024 OCT 02 00:55:24
orbit plot

Ei-interaktiivinen kuvaaja | Interaktiivinen kuvaaja

position vs time
speed and acceleration