🇳🇴 🇬🇧 🇩🇪 🇨🇿 🇫🇮

Meteor, poloha: Risør 2024-10-02 22:43:14 UTC

Soubor KML  |  InteraktivnĂ­ mapa

Mapa zobrazuje dráhy meteoru. Světlejší čáry ukazují směry od pozorovacích stanic při objevení se meteoru a tmavší čáry, kde byl naposledy viděn. Modrá šipka značí viditelnou dráhu meteoru.

static map
height profile
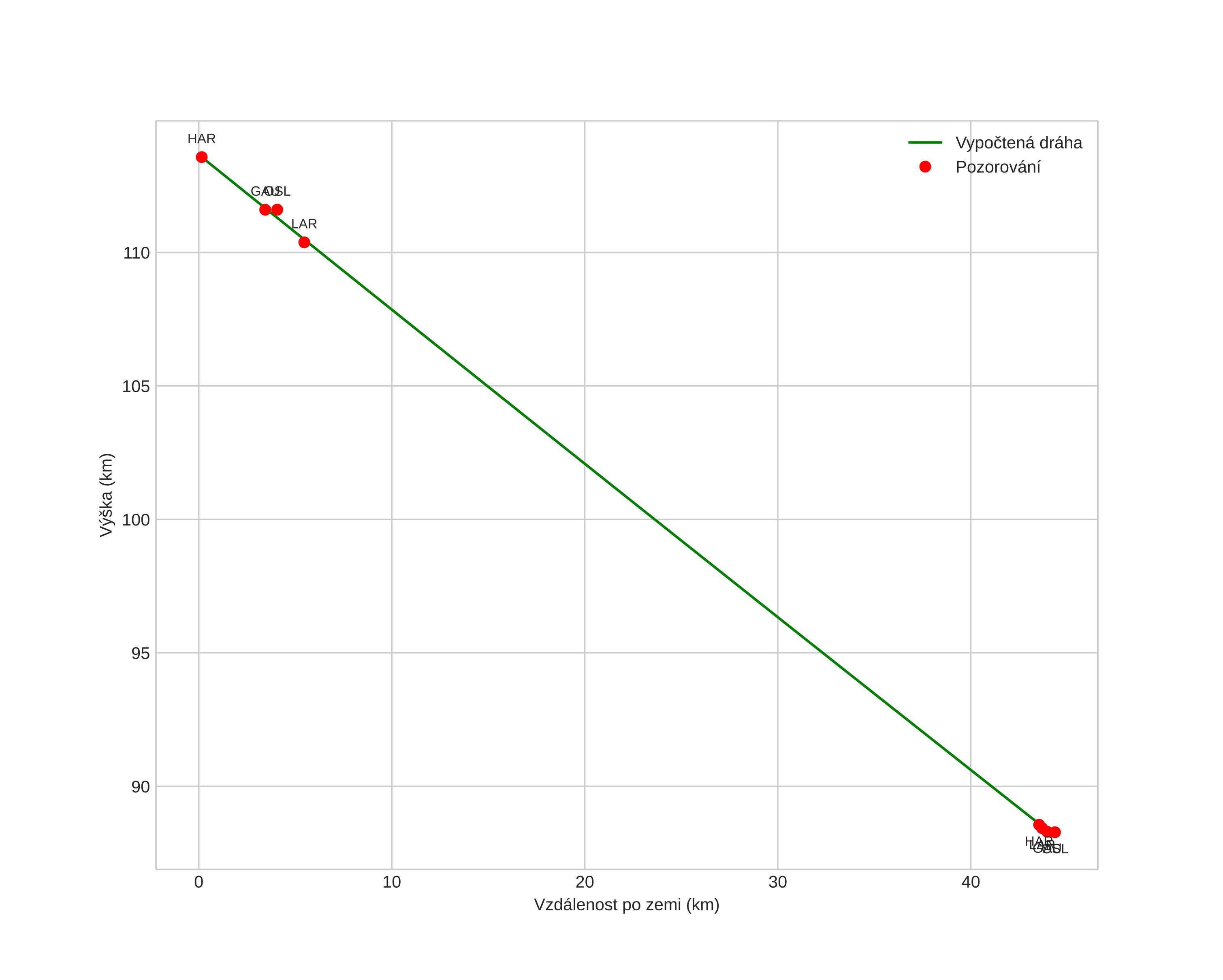
Atmosférická dráha meteoru:
Počáteční výška: 113,7 km
Konečná výška: 88,3 km
Počáteční poloha: 58,565N 10,290E
Konečná poloha: 58,296N 9,732E
Směr: 227,6°
Sklon: 29,9°
VstupnĂ­ rychlost: 67,0 km/s
Rektascenze radiantu: 07:34 (113,5°)
Deklinace radiantu: 46,7°
MeteorickĂ˝ roj: sporadickĂ˝
Elementy dráhy meteoroidu:
Vzdálenost v periheliu: 0,966 AU
Excentricita: 0,912
Sklon dráhy: 137,1°
Délka vzestupného uzlu: 189,9°
Argument perihelia: 158,0°
Střední anomálie: 0,4°
Epocha: 2024 OCT 02 22:43:14
orbit plot

NeinteraktivnĂ­ graf | InteraktivnĂ­ graf

position vs time
speed and acceleration