🇳🇴 🇬🇧 🇩🇪 🇨🇿 🇫🇮

Meteor Risørin yllä 2024-10-02 22:43:14 UTC

KML-tiedosto  |  Interaktiivinen kartta

Kartta näyttää meteorin suuntahavainnot. Vaaleammat viivat näyttävät suunnat havaintoasemilta meteorin ilmestyessä, ja tummemmat viivat näyttävät, missä se viimeksi nähtiin. Sininen nuoli näyttää meteorin näkyvän lennon.

static map
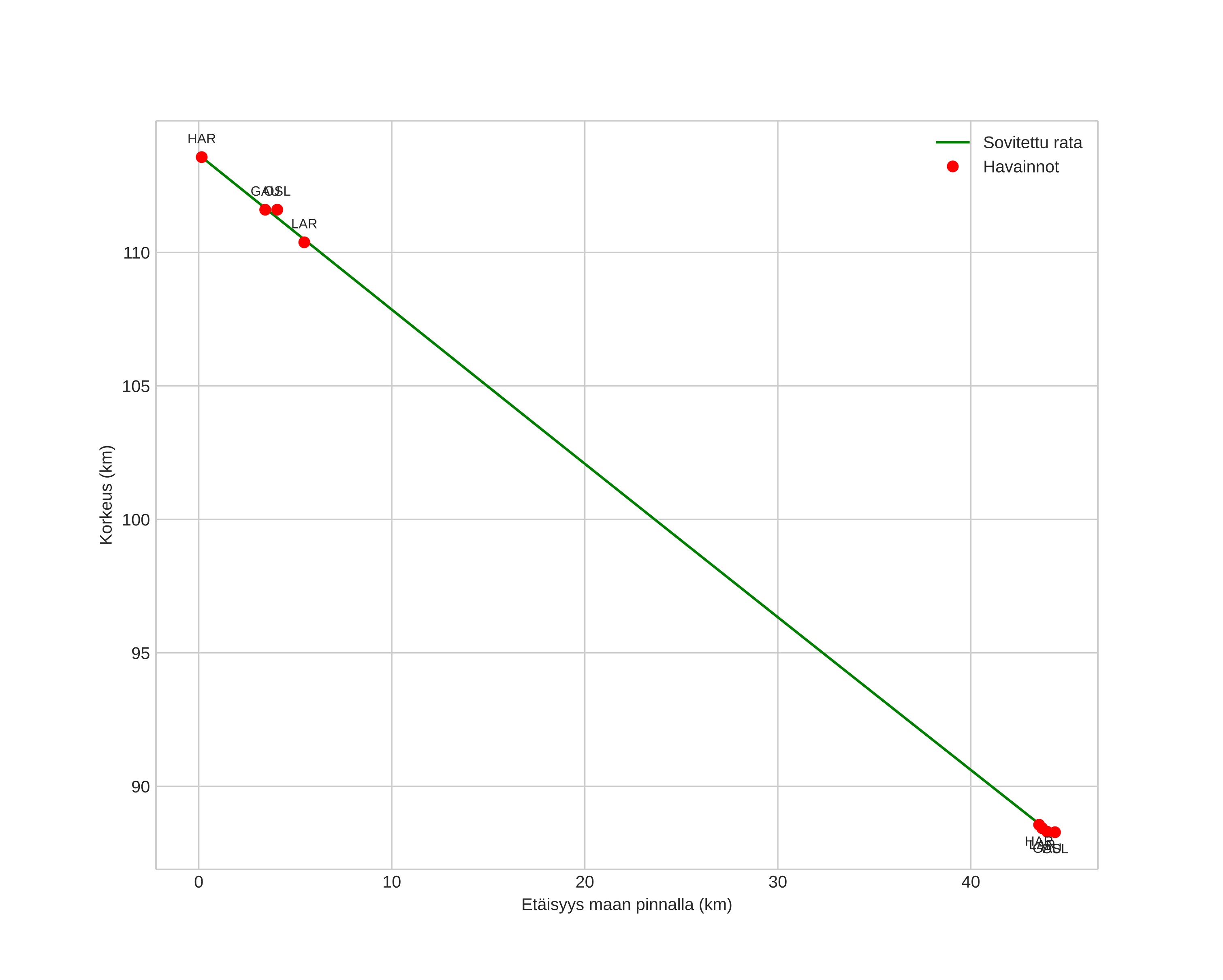
height profile
Meteorin ilmakehärata:
Alkukorkeus: 113,7 km
Loppukorkeus: 88,3 km
Alkupiste: 58,565N 10,290E
Loppupiste: 58,296N 9,732E
Suunta: 227,6°
Kallistuskulma: 29,9°
Tulonopeus: 67,0 km/s
Radiantin R,A,: 07:34 (113,5°)
Radiantin Dekl,: 46,7°
Meteoriparvi: Sporadinen
Meteoroidin rataelementit:
Perihelietäisyys: 0,966 AU
Eksentrisyys: 0,912
Inklinaatio: 137,1°
Nousevan solmun pituus: 189,9°
Perihelin argumentti: 158,0°
Keskianomalia: 0,4°
Epookki: 2024 OCT 02 22:43:14
orbit plot

Ei-interaktiivinen kuvaaja | Interaktiivinen kuvaaja

position vs time
speed and acceleration