🇳🇴 🇬🇧 🇩🇪 🇨🇿 🇫🇮

Meteor, poloha: Kongsvinger 2024-10-03 00:00:22 UTC

Soubor KML  |  InteraktivnĂ­ mapa

Mapa zobrazuje dráhy meteoru. Světlejší čáry ukazují směry od pozorovacích stanic při objevení se meteoru a tmavší čáry, kde byl naposledy viděn. Modrá šipka značí viditelnou dráhu meteoru.

static map
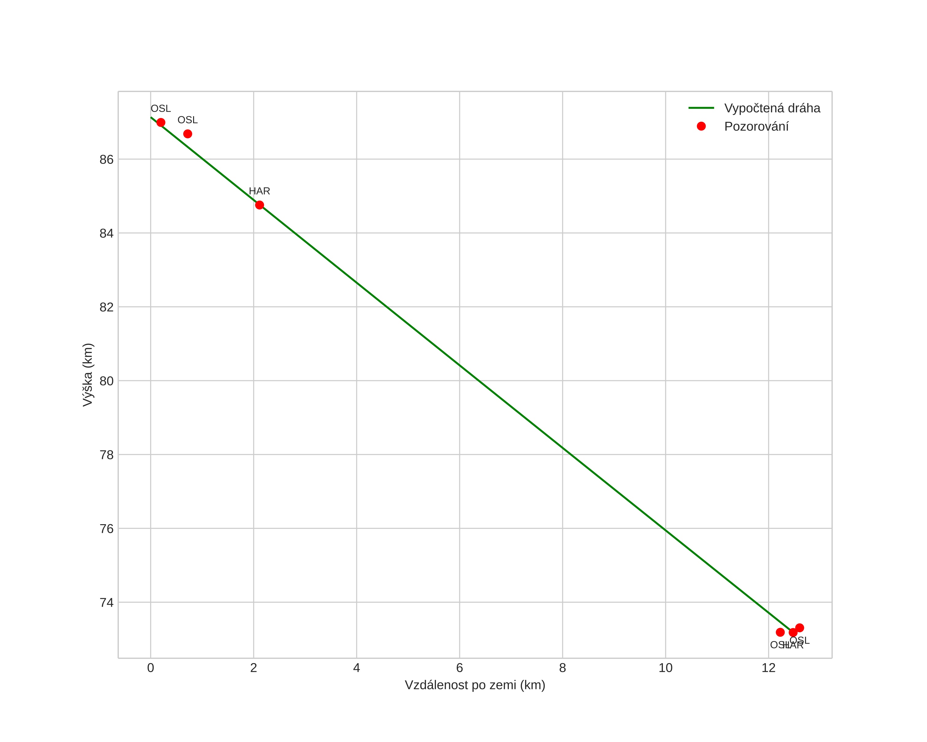
height profile
Atmosférická dráha meteoru:
Počáteční výška: 85,5 km
Konečná výška: 71,9 km
Počáteční poloha: 60,370N 12,002E
Konečná poloha: 60,268N 12,098E
Směr: 154,8°
Sklon: 47,4°
VstupnĂ­ rychlost: 27,3 km/s
Rektascenze radiantu: 17:25 (261,5°)
Deklinace radiantu: 68,6°
MeteorickĂ˝ roj: sporadickĂ˝
Elementy dráhy meteoroidu:
Vzdálenost v periheliu: 1,000 AU
Excentricita: 0,627
Sklon dráhy: 41,2°
Délka vzestupného uzlu: 189,9°
Argument perihelia: 177,4°
Střední anomálie: 0,5°
Epocha: 2024 OCT 03 00:00:22
orbit plot

NeinteraktivnĂ­ graf | InteraktivnĂ­ graf

position vs time
speed and acceleration