🇳🇴 🇬🇧 🇩🇪 🇨🇿 🇫🇮

Meteor Kongsvingerin yllä 2024-10-03 00:00:22 UTC

KML-tiedosto  |  Interaktiivinen kartta

Kartta näyttää meteorin suuntahavainnot. Vaaleammat viivat näyttävät suunnat havaintoasemilta meteorin ilmestyessä, ja tummemmat viivat näyttävät, missä se viimeksi nähtiin. Sininen nuoli näyttää meteorin näkyvän lennon.

static map
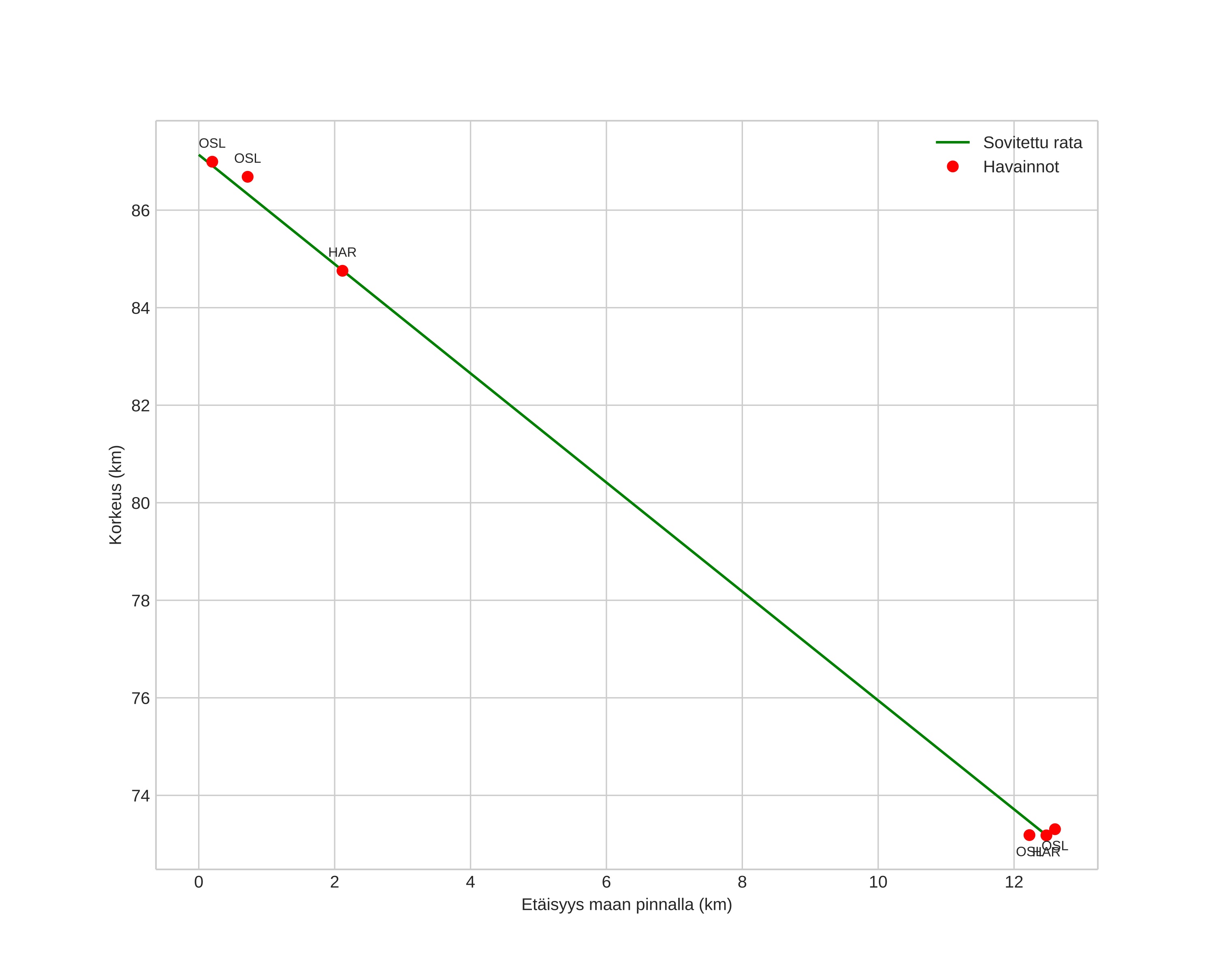
height profile
Meteorin ilmakehärata:
Alkukorkeus: 85,5 km
Loppukorkeus: 71,9 km
Alkupiste: 60,370N 12,002E
Loppupiste: 60,268N 12,098E
Suunta: 154,8°
Kallistuskulma: 47,4°
Tulonopeus: 27,3 km/s
Radiantin R,A,: 17:25 (261,5°)
Radiantin Dekl,: 68,6°
Meteoriparvi: Sporadinen
Meteoroidin rataelementit:
Perihelietäisyys: 1,000 AU
Eksentrisyys: 0,627
Inklinaatio: 41,2°
Nousevan solmun pituus: 189,9°
Perihelin argumentti: 177,4°
Keskianomalia: 0,5°
Epookki: 2024 OCT 03 00:00:22
orbit plot

Ei-interaktiivinen kuvaaja | Interaktiivinen kuvaaja

position vs time
speed and acceleration