🇳🇴 🇬🇧 🇩🇪 🇨🇿 🇫🇮

Meteor, poloha: Årjäng 2024-10-03 20:07:12 UTC

Soubor KML  |  InteraktivnĂ­ mapa

Mapa zobrazuje dráhy meteoru. Světlejší čáry ukazují směry od pozorovacích stanic při objevení se meteoru a tmavší čáry, kde byl naposledy viděn. Modrá šipka značí viditelnou dráhu meteoru.

static map
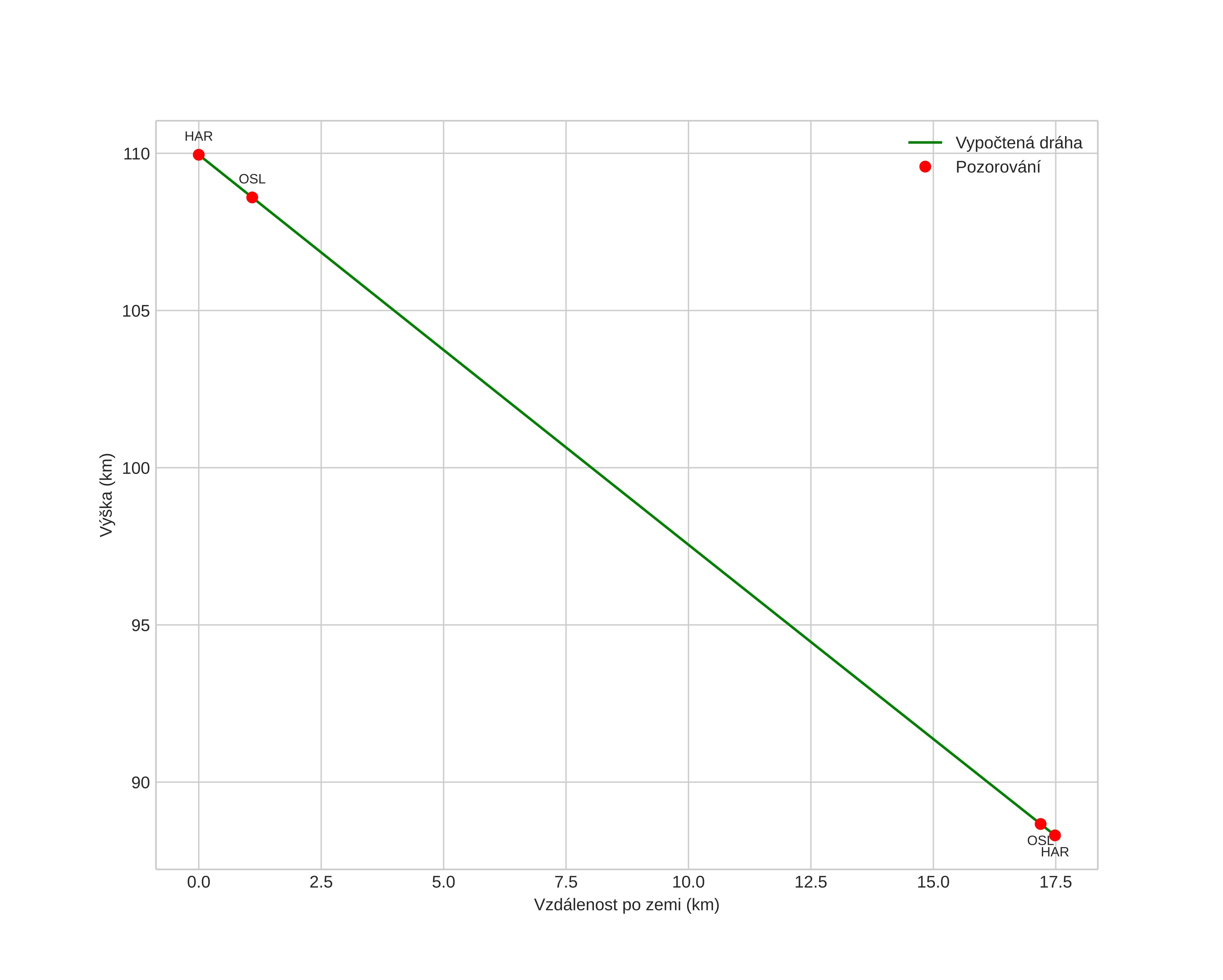
height profile
Atmosférická dráha meteoru:
Počáteční výška: 110,1 km
Konečná výška: 88,3 km
Počáteční poloha: 59,441N 12,120E
Konečná poloha: 59,293N 12,004E
Směr: 201,8°
Sklon: 50,9°
VstupnĂ­ rychlost: 54,4 km/s
Rektascenze radiantu: 05:29 (82,4°)
Deklinace radiantu: 75,0°
MeteorickĂ˝ roj: sporadickĂ˝
Elementy dráhy meteoroidu:
Vzdálenost v periheliu: 0,962 AU
Excentricita: 1,045
Sklon dráhy: 93,1°
Délka vzestupného uzlu: 190,8°
Argument perihelia: 202,4°
Střední anomálie: -0,2°
Epocha: 2024 OCT 03 20:07:12
orbit plot

NeinteraktivnĂ­ graf | InteraktivnĂ­ graf

position vs time
speed and acceleration