🇳🇴 🇬🇧 🇩🇪 🇨🇿 🇫🇮

Meteor Årjängin yllä 2024-10-03 20:07:12 UTC

KML-tiedosto  |  Interaktiivinen kartta

Kartta näyttää meteorin suuntahavainnot. Vaaleammat viivat näyttävät suunnat havaintoasemilta meteorin ilmestyessä, ja tummemmat viivat näyttävät, missä se viimeksi nähtiin. Sininen nuoli näyttää meteorin näkyvän lennon.

static map
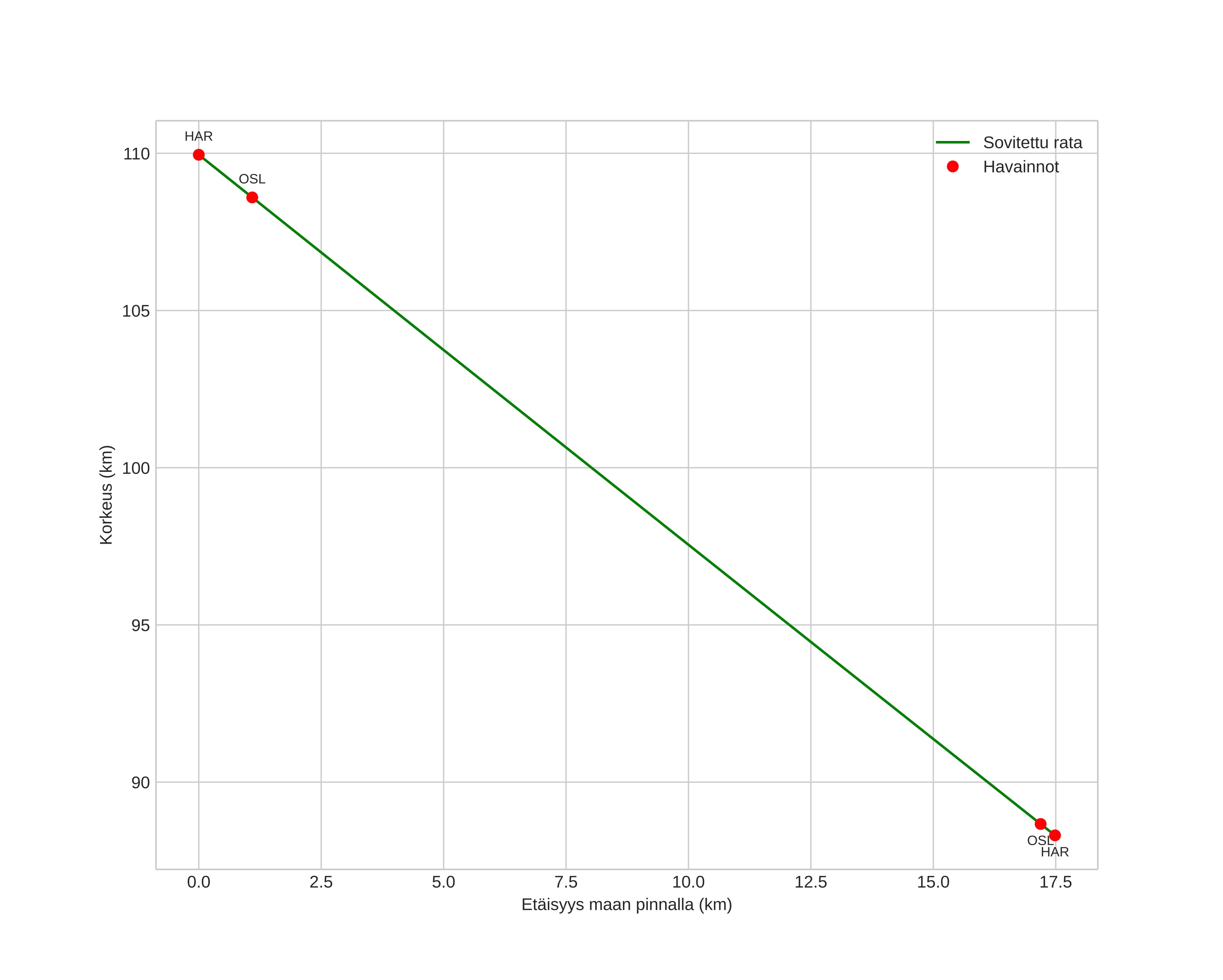
height profile
Meteorin ilmakehärata:
Alkukorkeus: 110,1 km
Loppukorkeus: 88,3 km
Alkupiste: 59,441N 12,120E
Loppupiste: 59,293N 12,004E
Suunta: 201,8°
Kallistuskulma: 50,9°
Tulonopeus: 54,4 km/s
Radiantin R,A,: 05:29 (82,4°)
Radiantin Dekl,: 75,0°
Meteoriparvi: Sporadinen
Meteoroidin rataelementit:
Perihelietäisyys: 0,962 AU
Eksentrisyys: 1,045
Inklinaatio: 93,1°
Nousevan solmun pituus: 190,8°
Perihelin argumentti: 202,4°
Keskianomalia: -0,2°
Epookki: 2024 OCT 03 20:07:12
orbit plot

Ei-interaktiivinen kuvaaja | Interaktiivinen kuvaaja

position vs time
speed and acceleration