🇳🇴 🇬🇧 🇩🇪 🇨🇿 🇫🇮

Meteor, poloha: Revetal 2024-10-03 20:58:05 UTC

Soubor KML  |  InteraktivnĂ­ mapa

Mapa zobrazuje dráhy meteoru. Světlejší čáry ukazují směry od pozorovacích stanic při objevení se meteoru a tmavší čáry, kde byl naposledy viděn. Modrá šipka značí viditelnou dráhu meteoru.

static map
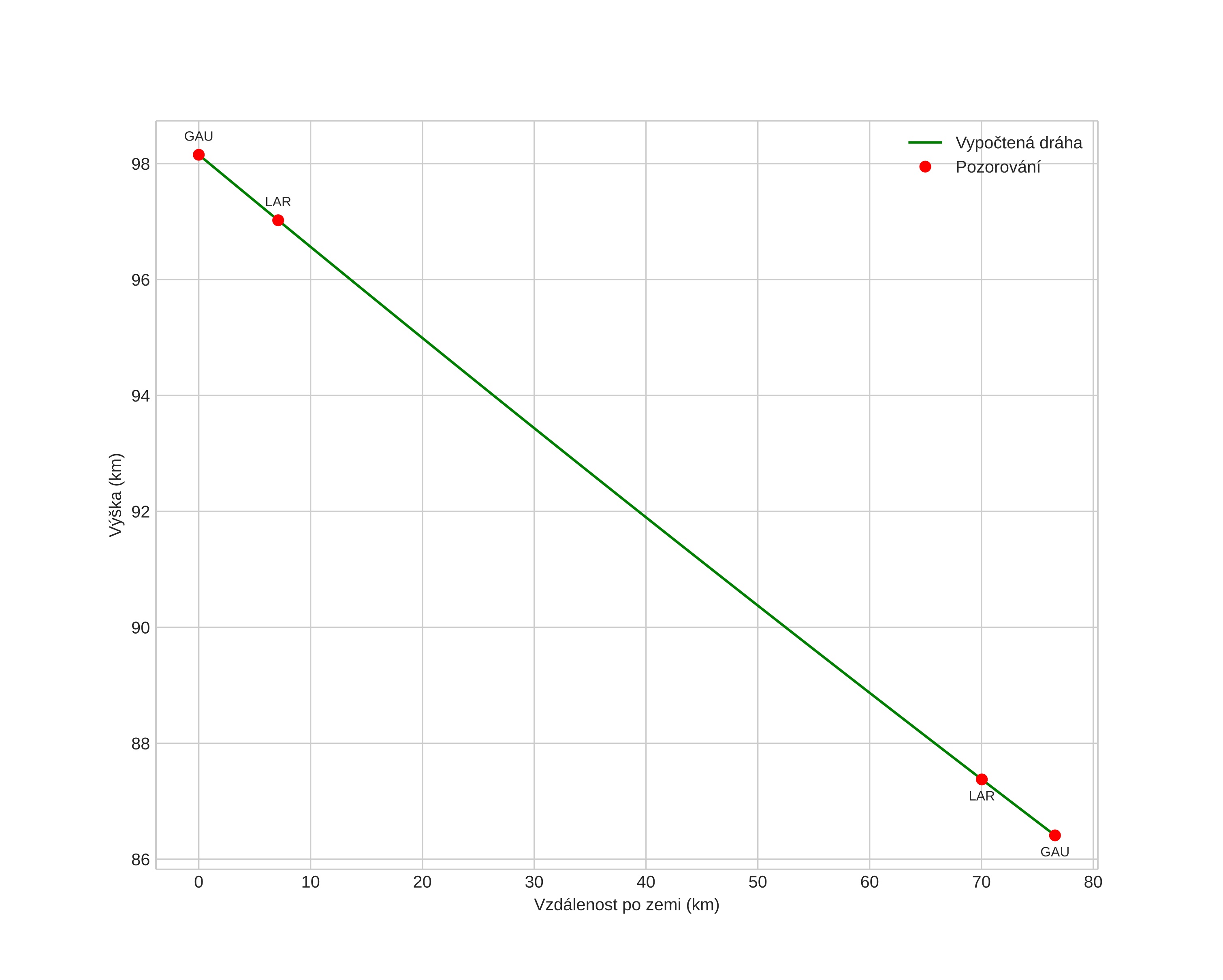
height profile
Atmosférická dráha meteoru:
Počáteční výška: 98,4 km
Konečná výška: 86,2 km
Počáteční poloha: 59,023N 11,497E
Konečná poloha: 59,346N 10,258E
Směr: 297,5°
Sklon: 8,8°
VstupnĂ­ rychlost: 39,0 km/s
Rektascenze radiantu: 02:45 (41,3°)
Deklinace radiantu: -8,0°
MeteorickĂ˝ roj: sporadickĂ˝
Elementy dráhy meteoroidu:
Vzdálenost v periheliu: 0,259 AU
Excentricita: 0,898
Sklon dráhy: 43,6°
Délka vzestupného uzlu: 10,8°
Argument perihelia: 124,5°
Střední anomálie: 350,4°
Epocha: 2024 OCT 03 20:58:05
orbit plot

NeinteraktivnĂ­ graf | InteraktivnĂ­ graf

position vs time
speed and acceleration