🇳🇴 🇬🇧 🇩🇪 🇨🇿 🇫🇮

Meteor Revetalin yllä 2024-10-03 20:58:05 UTC

KML-tiedosto  |  Interaktiivinen kartta

Kartta näyttää meteorin suuntahavainnot. Vaaleammat viivat näyttävät suunnat havaintoasemilta meteorin ilmestyessä, ja tummemmat viivat näyttävät, missä se viimeksi nähtiin. Sininen nuoli näyttää meteorin näkyvän lennon.

static map
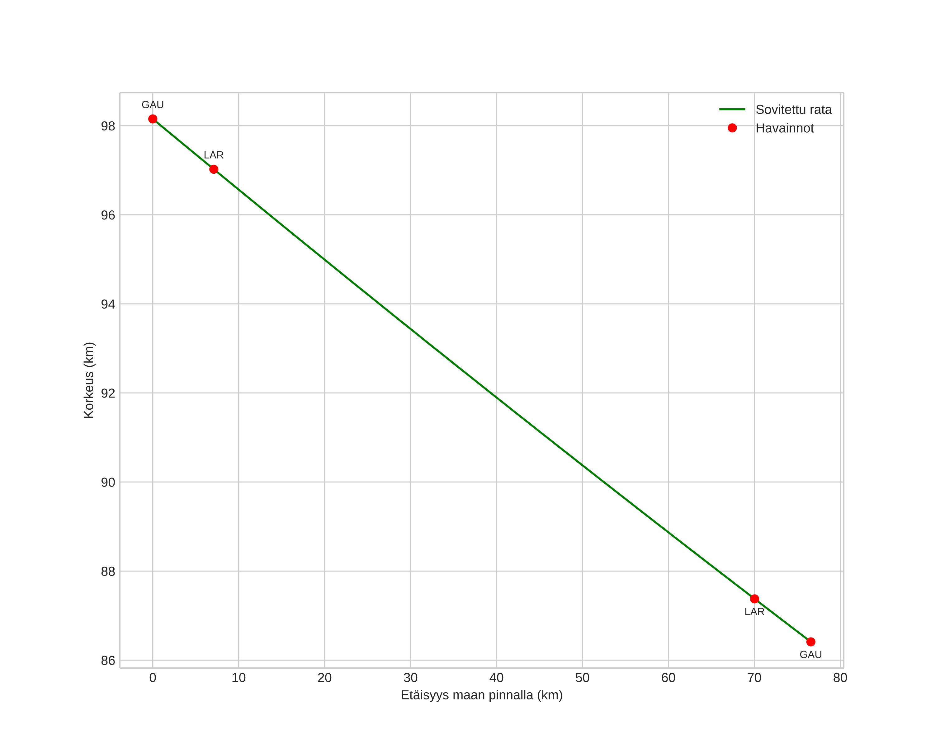
height profile
Meteorin ilmakehärata:
Alkukorkeus: 98,4 km
Loppukorkeus: 86,2 km
Alkupiste: 59,023N 11,497E
Loppupiste: 59,346N 10,258E
Suunta: 297,5°
Kallistuskulma: 8,8°
Tulonopeus: 39,0 km/s
Radiantin R,A,: 02:45 (41,3°)
Radiantin Dekl,: -8,0°
Meteoriparvi: Sporadinen
Meteoroidin rataelementit:
Perihelietäisyys: 0,259 AU
Eksentrisyys: 0,898
Inklinaatio: 43,6°
Nousevan solmun pituus: 10,8°
Perihelin argumentti: 124,5°
Keskianomalia: 350,4°
Epookki: 2024 OCT 03 20:58:05
orbit plot

Ei-interaktiivinen kuvaaja | Interaktiivinen kuvaaja

position vs time
speed and acceleration