🇳🇴 🇬🇧 🇩🇪 🇨🇿 🇫🇮

Meteor, poloha: Leirsund 2024-10-03 21:03:40 UTC

Soubor KML  |  InteraktivnĂ­ mapa

Mapa zobrazuje dráhy meteoru. Světlejší čáry ukazují směry od pozorovacích stanic při objevení se meteoru a tmavší čáry, kde byl naposledy viděn. Modrá šipka značí viditelnou dráhu meteoru.

static map
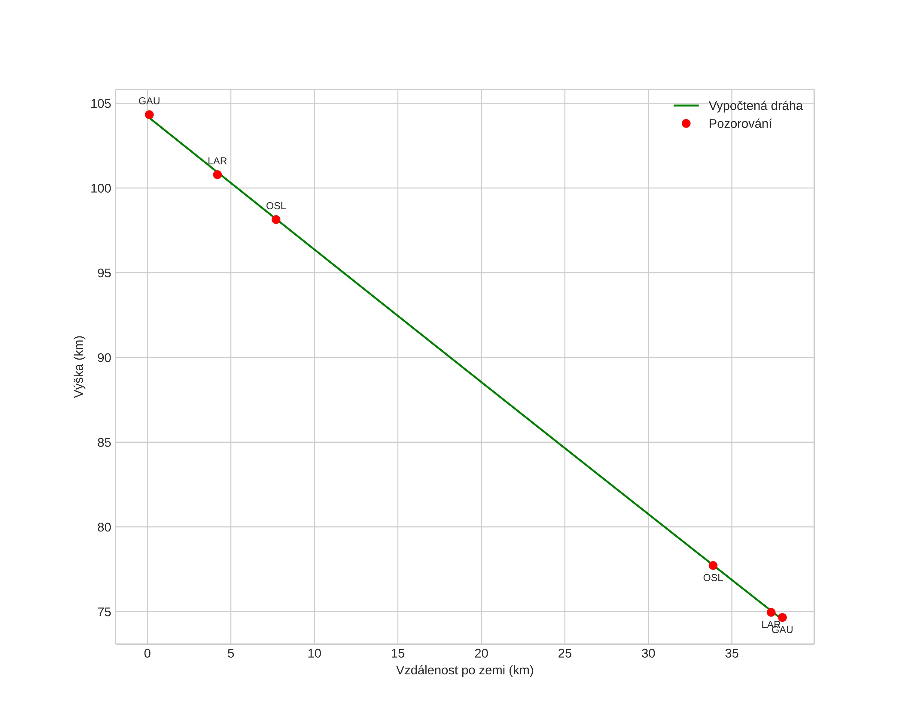
height profile
Atmosférická dráha meteoru:
Počáteční výška: 103,0 km
Konečná výška: 74,9 km
Počáteční poloha: 60,267N 10,769E
Konečná poloha: 59,978N 11,136E
Směr: 147,5°
Sklon: 36,5°
VstupnĂ­ rychlost: 37,2 km/s
Rektascenze radiantu: 14:17 (214,5°)
Deklinace radiantu: 57,2°
MeteorickĂ˝ roj: sporadickĂ˝
Elementy dráhy meteoroidu:
Vzdálenost v periheliu: 0,887 AU
Excentricita: 1,077
Sklon dráhy: 51,9°
Délka vzestupného uzlu: 190,8°
Argument perihelia: 141,3°
Střední anomálie: 0,6°
Epocha: 2024 OCT 03 21:03:40
orbit plot

NeinteraktivnĂ­ graf | InteraktivnĂ­ graf

position vs time
speed and acceleration