🇳🇴 🇬🇧 🇩🇪 🇨🇿 🇫🇮

Meteor Leirsundin yllä 2024-10-03 21:03:40 UTC

KML-tiedosto  |  Interaktiivinen kartta

Kartta näyttää meteorin suuntahavainnot. Vaaleammat viivat näyttävät suunnat havaintoasemilta meteorin ilmestyessä, ja tummemmat viivat näyttävät, missä se viimeksi nähtiin. Sininen nuoli näyttää meteorin näkyvän lennon.

static map
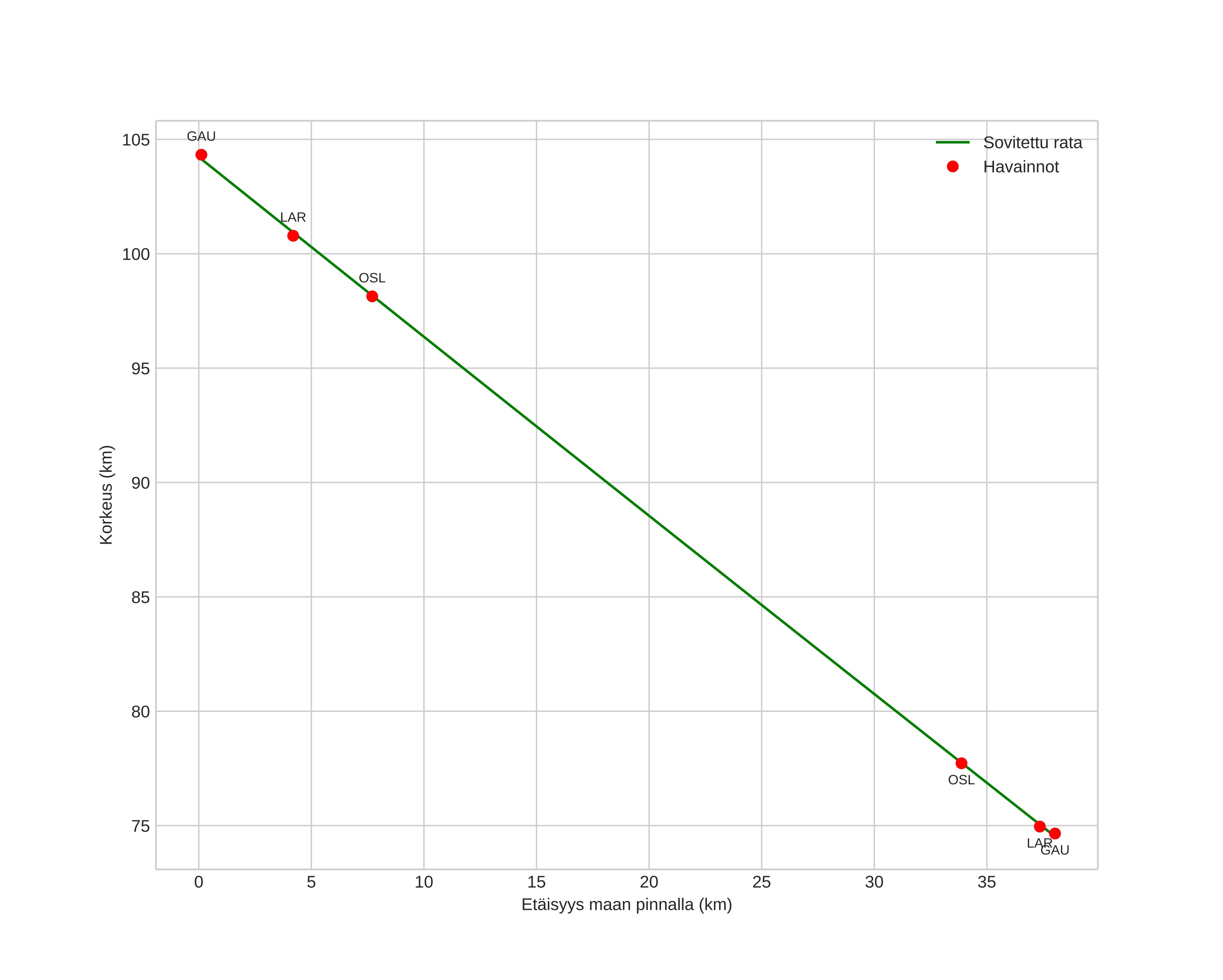
height profile
Meteorin ilmakehärata:
Alkukorkeus: 103,0 km
Loppukorkeus: 74,9 km
Alkupiste: 60,267N 10,769E
Loppupiste: 59,978N 11,136E
Suunta: 147,5°
Kallistuskulma: 36,5°
Tulonopeus: 37,2 km/s
Radiantin R,A,: 14:17 (214,5°)
Radiantin Dekl,: 57,2°
Meteoriparvi: Sporadinen
Meteoroidin rataelementit:
Perihelietäisyys: 0,887 AU
Eksentrisyys: 1,077
Inklinaatio: 51,9°
Nousevan solmun pituus: 190,8°
Perihelin argumentti: 141,3°
Keskianomalia: 0,6°
Epookki: 2024 OCT 03 21:03:40
orbit plot

Ei-interaktiivinen kuvaaja | Interaktiivinen kuvaaja

position vs time
speed and acceleration