🇳🇴 🇬🇧 🇩🇪 🇨🇿 🇫🇮

Meteor, poloha: Maura 2024-10-04 00:16:12 UTC

Soubor KML  |  InteraktivnĂ­ mapa

Mapa zobrazuje dráhy meteoru. Světlejší čáry ukazují směry od pozorovacích stanic při objevení se meteoru a tmavší čáry, kde byl naposledy viděn. Modrá šipka značí viditelnou dráhu meteoru.

static map
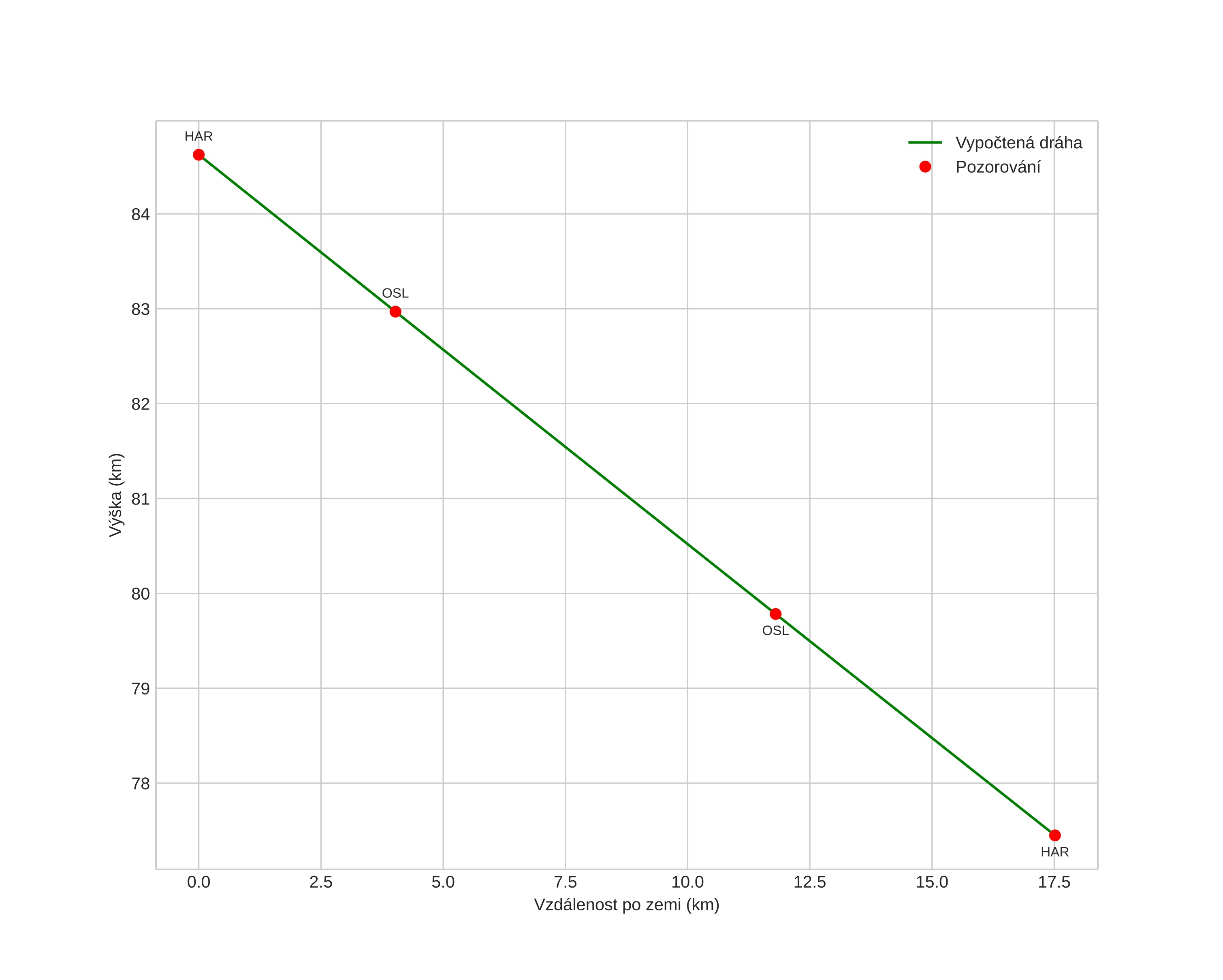
height profile
Atmosférická dráha meteoru:
Počáteční výška: 84,2 km
Konečná výška: 75,7 km
Počáteční poloha: 60,241N 10,655E
Konečná poloha: 60,313N 10,986E
Směr: 66,3°
Sklon: 23,1°
VstupnĂ­ rychlost: 14,4 km/s
Rektascenze radiantu: 21:24 (321,1°)
Deklinace radiantu: -5,7°
MeteorickĂ˝ roj: sporadickĂ˝
Elementy dráhy meteoroidu:
Vzdálenost v periheliu: 0,959 AU
Excentricita: 0,599
Sklon dráhy: 2,3°
Délka vzestupného uzlu: 190,9°
Argument perihelia: 207,2°
Střední anomálie: 354,4°
Epocha: 2024 OCT 04 00:16:12
orbit plot

NeinteraktivnĂ­ graf | InteraktivnĂ­ graf

position vs time
speed and acceleration