🇳🇴 🇬🇧 🇩🇪 🇨🇿 🇫🇮

Meteor Mauran yllä 2024-10-04 00:16:12 UTC

KML-tiedosto  |  Interaktiivinen kartta

Kartta näyttää meteorin suuntahavainnot. Vaaleammat viivat näyttävät suunnat havaintoasemilta meteorin ilmestyessä, ja tummemmat viivat näyttävät, missä se viimeksi nähtiin. Sininen nuoli näyttää meteorin näkyvän lennon.

static map
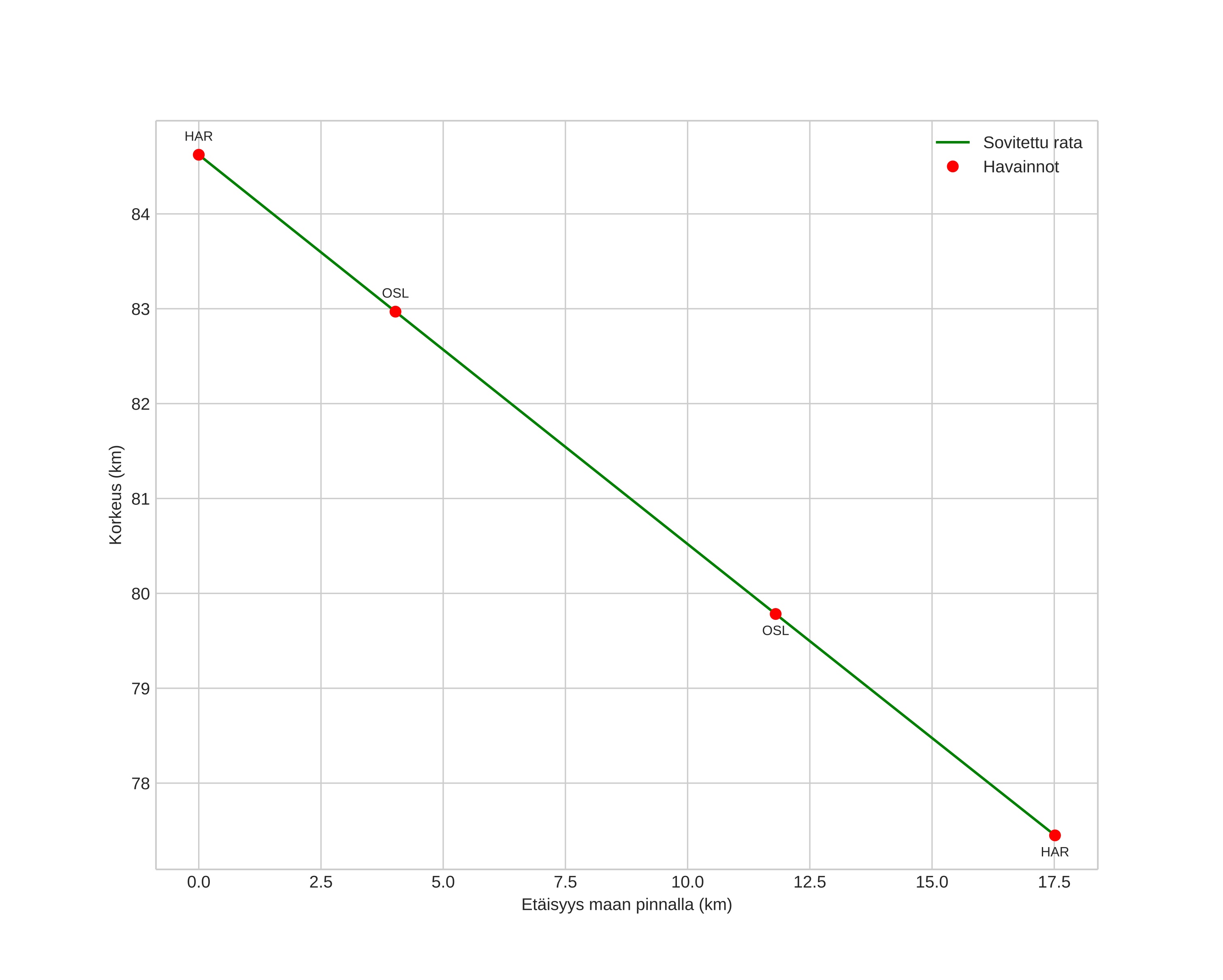
height profile
Meteorin ilmakehärata:
Alkukorkeus: 84,2 km
Loppukorkeus: 75,7 km
Alkupiste: 60,241N 10,655E
Loppupiste: 60,313N 10,986E
Suunta: 66,3°
Kallistuskulma: 23,1°
Tulonopeus: 14,4 km/s
Radiantin R,A,: 21:24 (321,1°)
Radiantin Dekl,: -5,7°
Meteoriparvi: Sporadinen
Meteoroidin rataelementit:
Perihelietäisyys: 0,959 AU
Eksentrisyys: 0,599
Inklinaatio: 2,3°
Nousevan solmun pituus: 190,9°
Perihelin argumentti: 207,2°
Keskianomalia: 354,4°
Epookki: 2024 OCT 04 00:16:12
orbit plot

Ei-interaktiivinen kuvaaja | Interaktiivinen kuvaaja

position vs time
speed and acceleration