🇳🇴 🇬🇧 🇩🇪 🇨🇿 🇫🇮

Meteor, poloha: Risør 2024-10-04 02:21:56 UTC

Soubor KML  |  InteraktivnĂ­ mapa

Mapa zobrazuje dráhy meteoru. Světlejší čáry ukazují směry od pozorovacích stanic při objevení se meteoru a tmavší čáry, kde byl naposledy viděn. Modrá šipka značí viditelnou dráhu meteoru.

static map
height profile
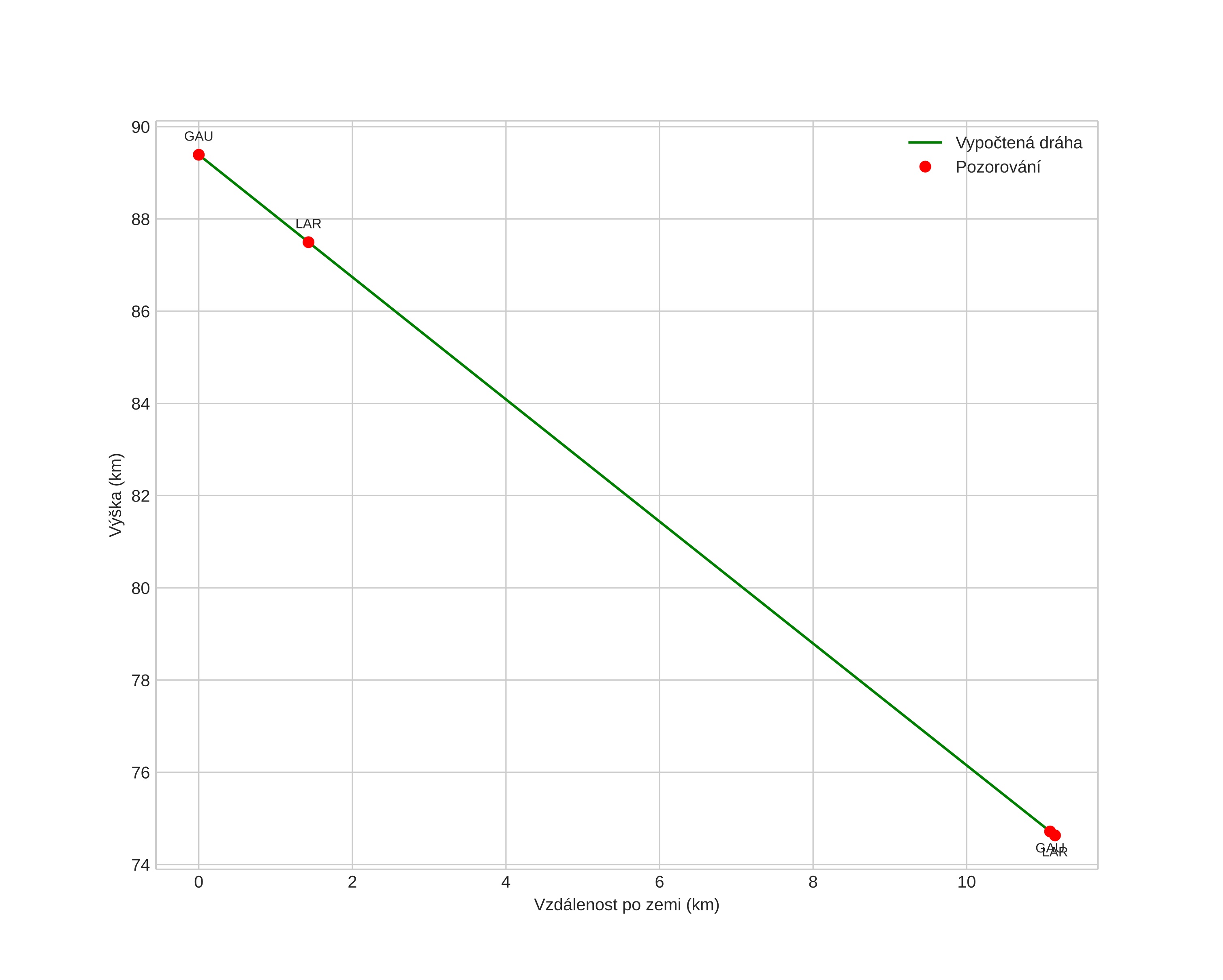
Atmosférická dráha meteoru:
Počáteční výška: 89,4 km
Konečná výška: 74,6 km
Počáteční poloha: 58,870N 9,091E
Konečná poloha: 58,817N 9,255E
Směr: 122,1°
Sklon: 53,0°
VstupnĂ­ rychlost: 19,9 km/s
Rektascenze radiantu: 22:29 (337,5°)
Deklinace radiantu: 55,2°
MeteorickĂ˝ roj: sporadickĂ˝
Elementy dráhy meteoroidu:
Vzdálenost v periheliu: 0,854 AU
Excentricita: 0,400
Sklon dráhy: 25,4°
Délka vzestupného uzlu: 191,0°
Argument perihelia: 240,8°
Střední anomálie: 333,4°
Epocha: 2024 OCT 04 02:21:56
orbit plot

NeinteraktivnĂ­ graf | InteraktivnĂ­ graf

position vs time
speed and acceleration