🇳🇴 🇬🇧 🇩🇪 🇨🇿 🇫🇮

Meteor, poloha: Burfjord 2024-10-07 20:49:50 UTC

Soubor KML  |  InteraktivnĂ­ mapa

Mapa zobrazuje dráhy meteoru. Světlejší čáry ukazují směry od pozorovacích stanic při objevení se meteoru a tmavší čáry, kde byl naposledy viděn. Modrá šipka značí viditelnou dráhu meteoru.

static map
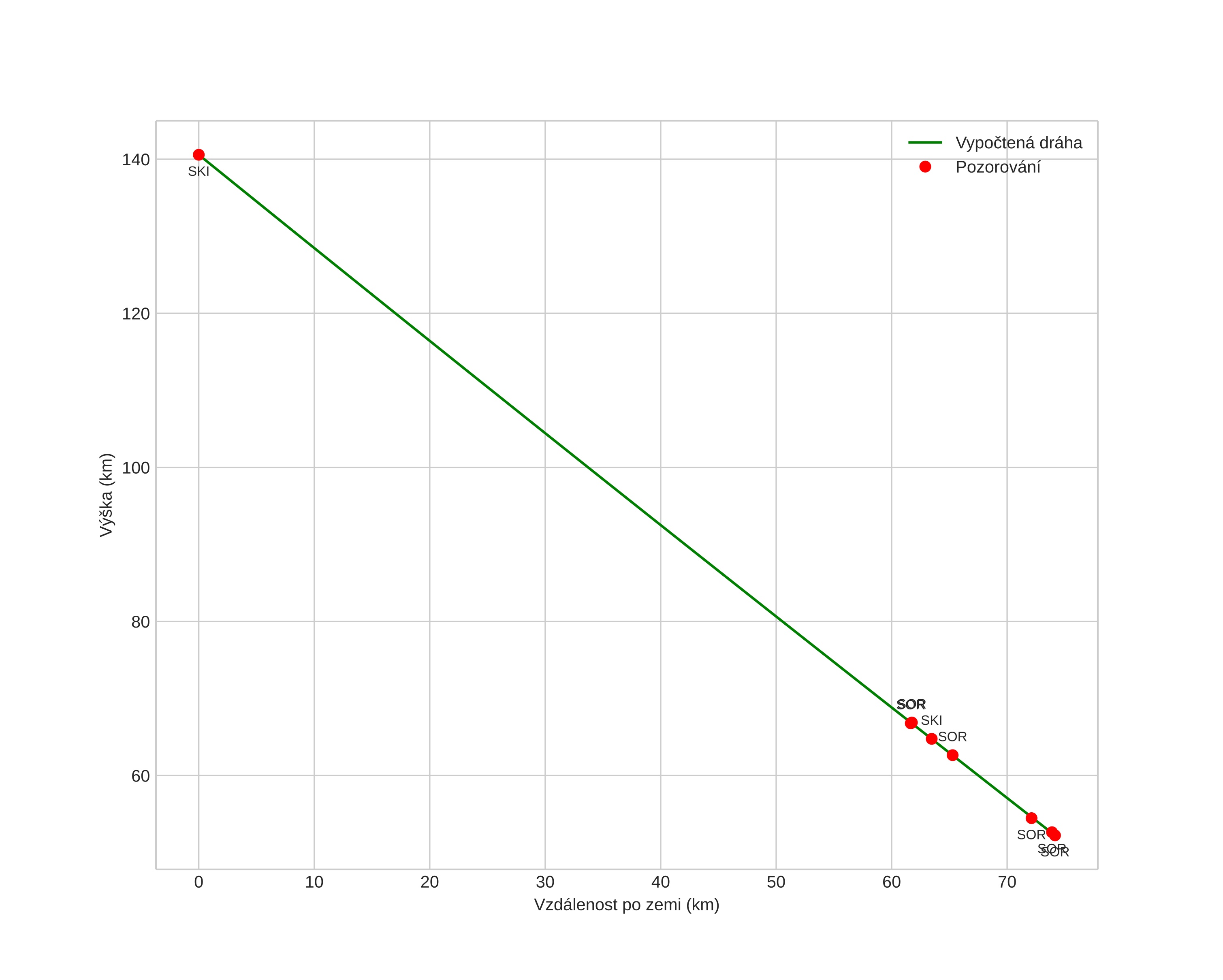
height profile
Atmosférická dráha meteoru:
Počáteční výška: 133,3 km
Konečná výška: 52,7 km
Počáteční poloha: 69,704N 20,025E
Konečná poloha: 69,930N 21,764E
Směr: 68,5°
Sklon: 48,5°
VstupnĂ­ rychlost: 15,0 km/s
Rektascenze radiantu: 19:32 (293,1°)
Deklinace radiantu: 30,1°
MeteorickĂ˝ roj: sporadickĂ˝
Elementy dráhy meteoroidu:
Vzdálenost v periheliu: 0,993 AU
Excentricita: 0,536
Sklon dráhy: 12,5°
Délka vzestupného uzlu: 194,7°
Argument perihelia: 191,1°
Střední anomálie: 357,2°
Epocha: 2024 OCT 07 20:49:50
orbit plot

NeinteraktivnĂ­ graf | InteraktivnĂ­ graf

position vs time
speed and acceleration